课堂小测总结——记若干道有价值的题目
连续

C选项,这个极限存在,只能说明在\(x_0\)处的左右极限存在且相等。连续,需要的是\(\lim\limits _{x \to x_0}f(x_0) = f(x_0)\),这里并没有给出等式右边的信息,因此不能作出判断。
判断连续三步走:
- \(f(x)在x_0处有定义\)
- \(\lim\limits_{x \to x_0}f(x)存在\)
- \(\lim\limits_{x \to x_0}f(x)=f(x_0)\)
以上三项任一一项不满足都不能判断连续。
另外,求导也有类似的情况:若\(\lim\limits _ {x \to x_0}\frac{f(x_0 + \Delta x)-f(x_0 - \Delta x)}{2\Delta x} = 0\),并不能说明\(f'(x_0) = 0\).
间断点

错因:对间断的的认识不足,没有掌握求间断点的方法。
思路:
首先要找间断点,即没有定义的点或者分段点,在这里也就是使分母为零的点。
然后要看这些间断点的左右极限存不存在。
在求极限时会遇到两种情况,一种是分子趋向于0,另一种是分子趋于不为0的数。同时分母都是趋于0的。
因此要分两种情况分别求极限,前者要使用洛必达法则,结果是一个确定的数,即极限存在;后者则为无穷大,即极限不存在。
可去间断点就是极限存在但在该点没有定义,因此满足条件的间断点即分子的三个零点。
感觉间断点就是一些概念的组合,关键是求左右极限的意识。
左右极限 && 符号问题

=-=这题D选项第一次写没发现是错的,求左极限时有一步开根号时漏了负号,四个选项一但都对就容易慌了,又逐个验证了一遍才发现。
符号问题

意识到了要变号,但没有意识到分子分母都变号了。。。变了但没有完全变=_=
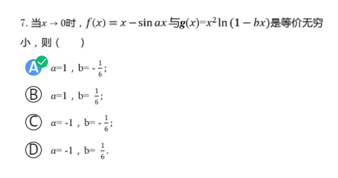
等价无穷小 && 泰勒展开 || 洛必达法则

求极限的过程中要用泰勒展开或者洛必达法则,当时没有这个意识。==
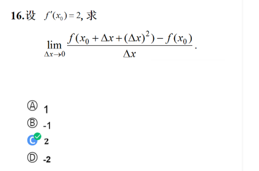
导数的定义

相当于对定义中的\(\Delta x\)进行了一个换元吧
等价无穷小 && 导数的定义(升级版16题)

这题考察了对导数的定义的理解,顺便还结合了等价无穷小,感觉挺好一题。
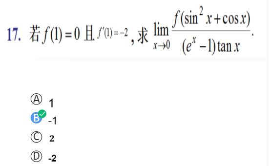
等价无穷小?&& 导数的定义


要点:利用导数的定义推出等价无穷小,然后插项构造这个等价无穷小。
p.s. 可以认为\(f(x) \sim x + f(0)\),然后直接代换就好(省去插项)
做出来了,但感觉异常地复杂,挖个坑蹲简洁一点的做法。==
难题,奇怪的性质&&洛必达法则&&局部保号性


奇怪的性质:\(若\lim\limits_{x \to x_0}\frac{f(x)}{g(x)} = c(c为不为0的常数),且\lim\limits_{x \to x_0}g(x) = 0,则\lim\limits_{x\to x_0}f(x)=0\)
这个做法还不知道对不对,挖个坑,稍后填

浙公网安备 33010602011771号