CMA-ES 算法
CMA-ES 算法
一、算法介绍
CMA-ES是Covariance Matrix Adaptation Evolutionary Strategies的缩写,中文名称是协方差矩阵自适应进化策略,主要用于解决连续优化问题,尤其在病态条件下的连续优化问题。进化策略算法主要作为求解参数优化问题的方法,模仿生物进化原理,假设不论基因发生何种变化,产生的结果(性状)总遵循这零均值,某一方差的高斯分布。注意这里进化策略和遗传算法不同,但是都是进化算法(EAs)的重要变种。
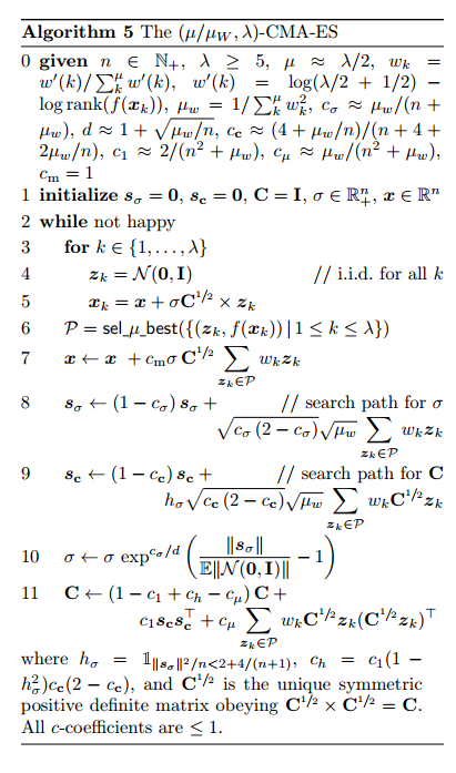
二、算法实现
三、主要特点
1. 使用多变量的正态分布产生新的搜索点
-遵循最大熵原理
x⃗ i∼m⃗ +σN(0,C) for i = 1, 2, …, λ
2. 基于排序的选择过程
-暗含了不变性, 对于g(f(x))来说具有相同的性能,g是增函数
3. 步长控制使得快速收敛更加便捷
-基于进化路径
4. 协方差矩阵自适应算法增加了成功步长的似然性,可以根据问题规模的数量级改善性能。
-C∝H−1⟺调整变量的类型,由海森矩阵等价成更为简单的协方差矩阵
-⟺产生一种新的问题表示方法
-⇒f(x)=g(xTHx)问题简化为g(xTx)

浙公网安备 33010602011771号