深圳技术大学第二届软件和信息技术大赛-题解报告
写在前面
这次比赛出题人有三位
钱贵宁EFI
周家宝BCGH
徐嘉辉ADJ
由于本次比赛主要目的是为了选拔蓝桥杯的预备参赛队员,所以赛制上选择了大家可能比较陌生的OI赛制,所有提交只有赛后一次结算机会。考虑很多人第一次接触这个赛制,我们的数据上给出了很多组很小的数据,基本保证就算全部用最基础的暴力方法,都可以完成除了后2个压轴题的所有分数。题目分为5个填空5个编程题,从难度上说,ABC考察了对基础语法和数据结构知识的了解,DE正解分别要用BFS和数论,前三个编程题都是语法层面的考察,I题考察了异或的灵活运用,处于友好set或sort的算法也也能拿到所有分数。压轴题暴力能拿4分或8分,正解是莫比乌斯反演。从得分分布来看,区分度也基本符合预期。如果有兴趣了解比赛中题目的正解,可以继续看下去
A土豆摸鱼
首先考虑闰年的数量算出天数,根据5和7的最小公倍数得出周期判断即可。
#include<stdio.h>
int main(){
int a,b,c;
a=365*10+3+31*3+30*2+10+23;//总共有3839天
b=a/35;// 5和7的最小公倍数是35;以35天为周期,每个周期满足条件的星期三有2天 ;共109个周期
c=a%35;//多出的24天内满足条件的星期三有2天;
printf("%d",b*2+2);
}
B爬楼梯
很典型的斐波那契数列,根据公式f(n)=f(n-1)+f(n-2)可以轻易写下面的代码
#include<bits/stdc++.h> using namespace std; unsigned fn(int i){ if (i == 1) return 1; if (i == 2) return 2; else return fn(i - 1) + fn (i - 2); } int main(){ cout << fn(15); return 0; }
C完全二叉树
首先有些知识点
1. 二叉树是指计算机科学中每个结点最多有两个子树的树结构。通常子树被称作“左子树”(left subtree)和“右子树”(right subtree)。二叉树常被用于实现二叉查找树和二叉堆。
2. 在非空二叉树中,第i层的结点总数不超过, i>=1;
3. 深度为h的二叉树最多有个结点(h>=1),最少有h个结点;
4. 对于任意一棵二叉树,如果其叶结点数为N0,而度数为2的结点总数为N2,则N0=N2+1;
5. 具有n个结点的完全二叉树的深度为[](注:[ ]表示向下取整)
6. 有N个结点的完全二叉树各结点如果用顺序方式存储,则结点之间有如下关系:
(1) 若I为结点编号则 如果I>1,则其父结点的编号为I/2;
(2) 如果2I<=N,则其左孩子(即左子树的根结点)的编号为2I;若2*I>N,则无左孩子;
(3) 如果2I+1<=N,则其右孩子的结点编号为2I+1;若2*I+1>N,则无右孩子。
那么有了上面这些基础知识后,先可以算出深度:
[[log2 4045 ] +1] = 12
易知2^12=4096 > 4045 ,所以12层没满
该层节点为2^12 - 1 = 2048
4096-4045=51
51/2=25……1
则2048 - 25=2023
D黑白棋
这个题目正解要用状态压缩和BFS一起来解决问题。思路可以概括为广搜+map去重,map里存过程中的状态 ,用bfs遍历所有状态,得到需要的最短步数。这道题由于给出情况比较简单,观察后很容易直接输出来,不过正解代码还是发出来给大家参考。
#include<bits/stdc++.h> using namespace std; queue<string>q; string a,b; map<string,string>m; void yy(int i,string ss){//上下换 string sss=ss; char c; c=ss[i]; ss[i]=ss[i+4]; ss[i+4]=c; if(m.count(ss)==0){ q.push(ss); char aa=49+i/4,bb=49+i%4,cc=50+i/4,dd=49+i%4;//这里的横竖坐标都是从0开始的,存进去要加1 m[ss]=m[sss]+aa+bb+cc+dd; } return; } void xx(int i,string ss){//左右换 string sss=ss; char c; c=ss[i]; ss[i]=ss[i+1]; ss[i+1]=c; if(m.count(ss)==0){ q.push(ss); char aa=49+i/4,bb=49+i%4,cc=49+i/4,dd=50+i%4; m[ss]=m[sss]+aa+bb+cc+dd; } return; } //考虑四个方向会重复,所以只需考虑两个方向,这里是右和下。 void bfs(){ q.push(a); m[a]=""; while(q.empty()==false){ string ss=q.front(); for(int i=0;i<16;i++){ if(i<12){//不是最后一行就和下面换 yy(i,ss); } if(i%4!=3){//不是最后一列就和右边换 xx(i,ss); } } if(m.count(b)!=0){//出现目标序列 cout<<m[b].size()/4<<endl; for(int j=0;j<m[b].size();j++){ cout<<m[b][j]; if(j%4==3)cout<<endl;//每输出四个换一行 } return; } q.pop(); } return; } int main(){ for(int i=0;i<16;i++){ char c; cin>>c; a+=c; } for(int i=0;i<16;i++){ char c; cin>>c; b+=c; } bfs(); return 0; }
E 阶乘约数
是烦人的数论题. 在做这道题之前, 我们首先要清楚如何求得一个数的约数数量. 我们都知道任何一个大于1的数字都可以表示为若干个质数之积, 而这个数的所有约数都是由这些质数组合而来的.
`eg. 45 = 5 * 3 * 3 -> 3, 5, 3 * 3 = 9, 3 * 5 = 15, 3 * 3 * 5 = 45`
对于 99! , 我们依然要对它进行这种分解质因数的操作. 它作为一个阶乘, 本身就已经被拆成99个因数了, 我们只需要将这99个因数依次分解, 统计出每个质数的个数, 再求得这些质数的组合即可.
#include <iostream> const int MAXN = 99; //本次要求的是99的阶乘约数 using namespace std; int p[MAXN]; //存质数的地方 int tot=0; int b[MAXN]={0}; //表示数组p[]中第i个质数出现了b[i]次 int main() { for(int i=2; i<=MAXN; i++)//筛法求2~99的质数 { bool bo = 1; for(int j=2; j*j <= i && bo; j++) { if(i%j==0)bo = 0; } if(bo)p[++tot] = i; } for(int i=2; i<=MAXN; i++) //依次对2~99进行分解 { int cur = i; int j = tot; while(p[j] > i)j--; //找到小于i的最大质数 while(cur != 1) //退出条件为i被分解干净 { if(cur%p[j] == 0) //如果cur能被p[j]整除, 说明可分解 { cur /= p[j]; b[j]++; } else j--; //继续尝试更小的质数 } } long long ans = 1; for(int i=1; i<=tot; i++) { /*p^0, p^1, p^2... p^b[i]共有 b[i]+1种情况, 将每个质数的情况数量相乘即可得到组合数量*/ ans *= (long long)(b[i]+1); } cout << ans << endl; return 0; }
F公祭日
是一道日期的模拟题. 从当前的日期开始, 向后数距离公祭日有几天, 再向前数距离公祭日有几天, 或者直接用一年的总天数做减法, 选择较小的数字输出即可. 不过对于闰年的处理不能马虎.
//这是最憨的写法了, 优化方式很多, 可以自行调整 #include <iostream> #include <cstdio> using namespace std; int main() { int t; cin >> t; for(int _=1; _<=t; _++) { int a[13] = {0, 31, 28, 31, 30, 31, 30, 31, 31, 30, 31, 30, 31};//预设好每月的日期上限 int y, m, d; cin >> y >> m >> d; int tot = 0; int ans; int yy = y, mm = m, dd = d;//将日期记录下来 if(y % 400 == 0 || (y % 4 ==0 && y % 100 != 0))a[2] = 29;//对于闰年的调整 while(m != 12 || d != 13) { d++; if(d > a[m])//日超限了, 升月 { d = 1; m++; if(m > 12)月超限了, 升年 { if(y % 400 == 0 || (y % 4 ==0 && y % 100 != 0))a[2] = 28; //已经出了闰年, 要把2月调回来 y++; if(y % 400 == 0 || (y % 4 ==0 && y % 100 != 0))a[2] = 29; //对于闰年的调整 m = 1; } } tot++; } ans = tot; tot = 0;//复位, 准备向前数 y = yy; m = mm; d = dd; if(y % 400 == 0 || (y % 4 ==0 && y % 100 != 0))a[2] = 29; while(m != 12 || d != 13) { d--; if(d <= 0) { m--; if(m <= 0) { if(y % 400 == 0 || (y % 4 ==0 && y % 100 != 0))a[2] = 28; y--; if(y % 400 == 0 || (y % 4 ==0 && y % 100 != 0))a[2] = 29; m = 12; } d = a[m]; } tot++; } cout << min(ans, tot) << endl;//输出较小值 } return 0; }
G凯撒加密
考察字符串,是本次比赛的编程签到题。
写法有很多种,这种写法是比较笨的一种,是O(n^2);
#include<iostream> #include<cstring> using namespace std; int main() { string s; int n; cin >> n; cin >> s; for(int i=0;i<s.size();++i)//循环字母 { for(int j=1;j<=n;++j)//位移字母的个数 { ++s[i]; if(s[i]>'z') //大于z就回到a s[i]='a'; } } cout << s; return 0; }
H奖学金
考察if-else的使用,属于基础签到题
#include<bits/stdc++.h> using namespace std; int main() { int n,score1,score2,sum=0,max=0,total=0,x,i; char a,b; string name,maxn; cin>>n; for(i=1;i<=n;i++) { cin>>name>>score1>>score2>>a>>b>>x; if(score1>80 && x>0)//判断是否获得院士奖学金 sum+=8000; if(score1>85 && score2>80)//判断是否获得五四奖学金 sum+=4000; if(score1>90)//判断是否获得成绩优秀奖 sum+=2000; if(score1>85 && b=='Y')//判断是否获得西部奖学金 sum+=1000; if(score2>80 && a=='Y')//判断是否获得班级贡献奖 sum+=850; total+=sum;//累加奖学金 if(sum>max)//找出最牛学生 maxn=name,max=sum;//sum的用处 sum=0; } cout<<maxn<<endl<<max<<endl<<total; return 0; }
I路灯
调戏路灯是一种很常见的题目模型, 各种有意思的数学模型都可以套进这种问题当中. 这道题要求我们在输入的 n 个数字中找到唯一一种出现了奇数次的数字, 根据拿到的分值不同我们可以采用不同的方法.
三十分
//30 //这里只是其中一种写法 int num[1010]; bool vis[1010] = {0}; void fun30(int n) { for(int i=1; i<=n; i++) { cin >> num[i]; } for(int i=1; i<=n; i++) { int tot = 1; if(!vis[i])//判重, 防止重复查询 { for(int j=i+1; j<=n; j++) { if(num[j] == num[i]) { vis[j] = 1; tot++; } } if(tot & 1) { cout << num[i] << endl; return; } } } }
七十分
在30分做法中, 大量的时间被耗费在搜索当中, 但其实有更好的方法. 我们要记录每种数字的出现次数, 那我们可不可以直接建立一个数字与出现次数的映射呢?创建一个数组`tot[num]`代表数字 num 在数列中出现出现的次数. 这样我们只需要在输入数字的同时进行计数, 而寻找答案时只需要遍历一遍tot数组即可. 这样的时间复杂度为`O(n+m)`, 其中n为数字的个数, m为输入数字的最大值. 在前7组数据中这种复杂度是可以接受的.
int tot[1000100]={0}; void fun70(int n) { for(int i=1; i<=n; i++) { int cur; cin >> cur; tot[cur]++; } for(int i=1; i<=1000000; i++)//在数字范围内寻找结果 { if(tot[i] & 1) { cout << i << endl; return; } } }
100分
70分做法的时间复杂度为`O(n+m)`, 同时还要创建一个相当大的数组, 当m过大时无论是时间还是空间都会变得十分夸张, 因此我们要继续改变策略. 在操作路灯的过程中, 每两次对于同一个路灯的操作都可以被“消”掉, 就像在玩消消看一样, 那么我们可不可以模拟这个“消”的过程呢?完全可以.
这里要引入一个位运算符`^`, 即异或(XOR). 其运算法则是对运算符两侧数的每一个二进制位进行判断, 同值取0, 异值取1. 根据定义, 显然对于任意数 x 都有 `x XOR x = 0, x XOR 0 = x`. 因此可以得到一个很有趣的性质: `A XOR B XOR B = A XOR 0 = A`,这个性质被称作**自反性**, 同时异或还支持交换律. 因此在这道题中我们只需要用异或将所有的数字连接起来, 相同的数字会被异或的自反性消掉, 而那唯一一个出现了奇数次的数字会成为表达式的结果. 这种做法的时间复杂度是`O(n)`, 因为并不需要存储数字, 所以空间复杂度是`O(1)`.
但实际上这道题的数据并没有这么强, 所以有一些时间复杂度为`O(nlog~2~n)`的算法可以通过这道题, 比如先将数列利用快排排好序再依次计数, 因为数列变成了有序, 所以只需要顺序枚举一遍就可以找到答案; 或者利用stl中的set记录当前被点亮的灯, 因为在利用红黑树实现的set中查找一个数字的时间复杂度为`O(log~2~n)`, 所以直接模拟开关灯的全部过程就可以在可接受的时间内得到结果; 利用二分实现查找的过程也是可行的. 不过以上算法或者可以被特殊的数据卡住, 或者通过时间十分极限, 既然比赛已经结束, 为什么不试试更加优美的做法呢.
#include <cstdio> using namespace std; inline int read()//因为数据量较大, 这里用了快读. 其实cin也能用 { int num = 0, fu = 1; char ch = getchar(); while(ch < '0' || ch > '9') { if(ch == '-') { fu = -1; } ch = getchar(); } while(ch >= '0' && ch <= '9') { num = (num << 3) + (num << 1) + ch - '0'; ch = getchar(); } return num * fu; } int main() { int n = read(); int ans = 0; for(int i=1; i<=n; i++) { int cur = read(); ans ^= cur;//将输入的数字用异或连接起来 } printf("%d\n", ans); return 0; }
J我本来是签到题
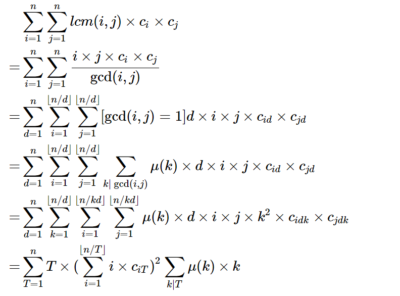
这道题如果仅仅用暴力去解决只能通过1/6的数据点,稍加优化可以通过1/3.不过都不足以解决问题。
正确做法是我们先用c数组预处理出每个数出现的次数,那么原问题变为求解

其中n表示最大的数。然后莫比乌斯反演转化一下

代码就是莫比乌斯反演的基本板子
#include<bits/stdc++.h> using namespace std; #define LL long long #define MAXN 50005 #define rgt register int N, M, cnt[MAXN], mu[MAXN], p[MAXN], tot, v[MAXN]; LL s[MAXN]; LL ans(0); int main(){ scanf( "%d", &N ); for ( rgt int i = 1, x; i <= N; ++i ) scanf( "%d", &x ), ++cnt[x], M = max( M, x ); N = M, mu[1] = 1; for ( rgt int i = 2; i <= N; ++i ){//线性筛出mu if ( !v[i] ) p[++tot] = i, mu[i] = -1; for ( rgt int j = 1; j <= tot && i * p[j] <= N; ++j ){ v[i * p[j]] = 1; if ( i % p[j] == 0 ){ mu[i * p[j]] = 0; break; } else mu[i * p[j]] = -mu[i]; } } for ( rgt int i = 1; i <= N; ++i ) for ( rgt int j = i; j <= N; j += i ) s[j] += 1ll * mu[i] * i; for ( rgt int T = 1; T <= N; ++T ){ rgt LL cur(0); for ( rgt int i = 1, I = N / T; i <= I; ++i ) cur += 1ll * cnt[i * T] * i;//暴力求解 ans += T * cur * cur * s[T]; } printf( "%lld\n", ans ); return 0; }

浙公网安备 33010602011771号