数据库索引
MySQL官方对索引的定义为:索引是帮助MySQL高效获取数据的数据结构。
mysql简单创建索引方式:
CREATE [UNIQUE|CLUSTERED] INDEX index_name
ON table_name (column_name)
--------其中UNIQUE和CLUSTERED为可选项,分别是建立唯一索引和聚簇索引,具体解释为:UNIQUE:表示此索引的每一个索引值只对应唯一的数据。CLUSTERED:表示要建立的索引时聚簇索引,即索引项的顺序与表中记录的物理顺序一致的索引组织。
为什么需要索引了?
大家在写sql查询语句的时候有没有想过数据库是如何执行查找的。如果向mysql发出一条sql查询语句请求,所查询的字段没有定义索引的话,很有可能就会导致全表扫描,这是因为数据库服务器搜索记录,在没有索引的情况下是搜索表的每一条记录,直到所有符合给定条件的数据被返回为止。说到这里,可能有小伙伴要问,为什么有了索引(在索引不失效的情况下)不会导致这种全表扫描了。这就要从索引的数据结构说起了。
适合做索引的数据结构
既然索引是为了优化查询速度,优化数据库性能。那么用的数据结构至少应具备查询快的特点,并且我们要明白的是mysql的数据是存储在磁盘的,查询的时候需要从磁盘中读取数据到内存,再到cpu进行筛选。(磁盘--->内存--->cpu)因此我们还需要避免多次从磁盘读取数据的过程,也就是减少IO操作。以下博主将简单根据上述特性来比较4中适合做索引的数据结构的优劣。
1>Hash算法

在查询条件定义了索引的情况下,查询的时间复杂度位O(1)
优点:查询速度快,但存在Hash冲突的问题 缺点:不能进行范围查找,因为存储是无序的。不能拿着hash值进行大小比较
2>树结构-平衡二叉树

优点:支持范围查找,查找时间复杂度位logn,小于hash算法 缺点:插入和删除效率低。 在未查找到需要的元素的时候,访问左右孩子需要从磁盘中加载,这导致了多次IO操作并且范围查找可能要回溯,这样会导致更多的IO操作 (上图中范围查找有解释),这是因为mysql查找时需要 磁盘->内存->cpu 。
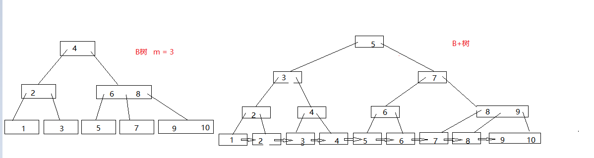
3>B树
AVL在查找的时候每访问一个新的节点需要进行IO操作,本质上IO操作的次数和树的高度有关,因此B树出现了

B树中的m:最多能含有m个孩子节点,同样插入1-10,B树的高度要比AVL树低,如果B树的m更大那么高度会更低。那么使用B树数据结构的索引进行查询操作的IO操作就会优于AVL树,但是还存在一个问题,在范围查找的时候还是可能需要回溯。
优点:支持范围查询,查找时间复杂度会优于AVL树(减少了IO),但是小于hash算法。
缺点:插入和删除效率低,范围查找可能需要回溯。
4>B+树
为了解决这个回溯问题,B+树来了,看下图,小伙伴应该发现了B+树的所有叶子节点中包含了所有非叶子节点。每个叶子节点增加了一个指向相邻叶子节点的指针,每个叶子节点也是最多容纳m-1个元素。
这样做的好处就是,在范围查询时不需要再进行回溯了,直接通过简单的链表操作即可。
注意:B+树中的非叶子节点仅仅存储了key就 是子树的最大最小值,只有叶子节点才存储了key和value,value就是真实的数据。
聚簇索引和稀疏索引
聚簇索引:将索引和数据存在一起,一个表仅有一个聚簇索引 默认位主键
稀疏索引:将数据存储和索引分开存储,,索引结构的叶子节点指向了数据的对应行,myisam通过key_buffer把索引先缓存到内存中,当需要访问数据时(通过索引访问数据),在内存中直接搜索索引,然后通过索引找到磁盘相应数据,这也就是为什么索引不在key buffer命中 时,速度慢的原因
辅助索引: 聚簇索引默认为主键,而将非主键列设为索引称为辅助索引 辅助索引需要二次查询,因为辅助索引中存储的value值是主键值
联合索引左前缀原则*
在mysql建立联合索引时会遵循最左前缀匹配的原则,即最左优先,在检索数据时从联合索引的最左边开始匹配(不需要按照顺序来写,比如对于(a,b)联合索引写成 a and b 和 b and a都可以使用上索引)
索引分类
唯一索引:加速查询 + 列值唯一(可以有null)
主键索引:加速查询 + 列值唯一(不可以有null)+ 表中只有一个
组合索引:多列值组成一个索引,专门用于组合搜索,其效率大于索引合并
全文索引:对文本的内容进行分词,进行搜索
数据库优化方法
1、选取最适用的字段属性 2、使用连接(JOIN)来代替子查询(Sub-Queries) 3、使用联合(UNION)来代替手动创建的临时表 4、事务 5、锁定表 6、使用外键 7、使用索引 8、优化的查询语句
什么情况下索引会失效
1.条件中有or,及时定义了索引也不会使用(这也就是为什么要少用or) 2.想要使用or,但又不想要索引不失效那么就需要or两边的条件中的每一列都需要加上索引 3.多列索引,如果不是使用的第一部分,索引失效 4.模糊查询使用like的时候,条件是%开头,索引失效 5.条件是字符串,不适用引号的情况下索引失效 6.如果mysql估计使用全表扫描要比索引快的情况下不适用索引

浙公网安备 33010602011771号