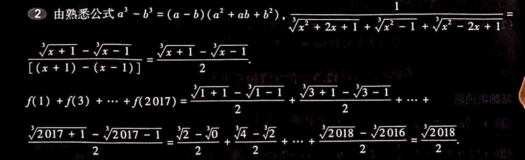
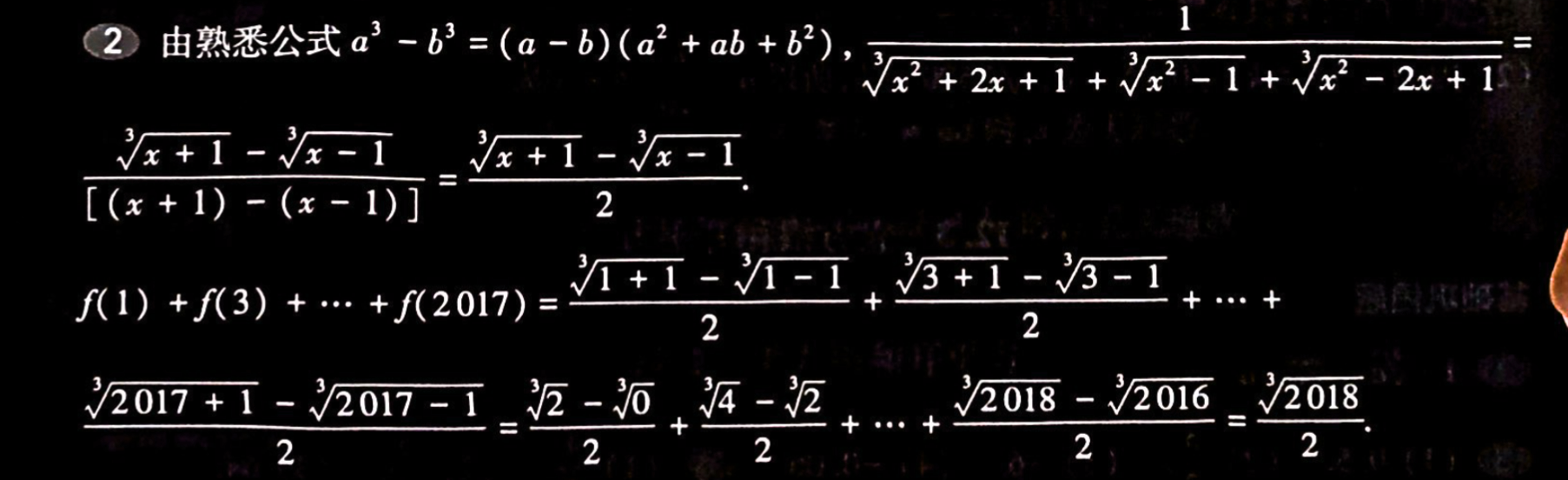
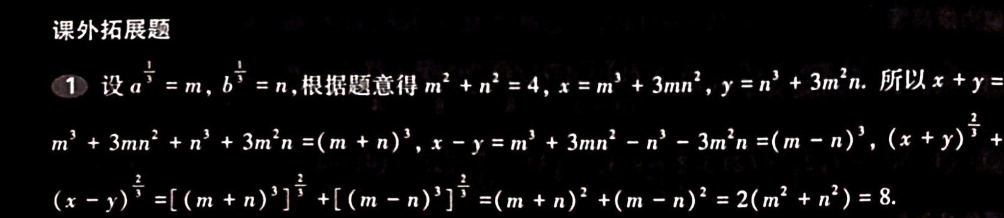
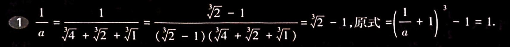
数学_疑难_7B

===============



===========================================


=====================



=======


====


======================




===========


===============




===============



===========================================


=====================



=======


====


======================




===========


===============


