统计常用知识随笔(1)
注:以下均来自牛客网 小红书笔试题目~

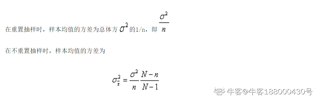
1.调查全公司1000名员工平均交通费用支出情况,采取不重置抽样,从其中抽取100名进行调查。根据以往调查可知总体方差s²为100,则样本均值的方差为 (100/111)

2.X服从区间(1,5)上的均匀分布,求对X进行3次独立观测中,至少有2次的观测值大于2的概率
注:以下均来自牛客网 小红书笔试题目~

1.调查全公司1000名员工平均交通费用支出情况,采取不重置抽样,从其中抽取100名进行调查。根据以往调查可知总体方差s²为100,则样本均值的方差为 (100/111)

2.X服从区间(1,5)上的均匀分布,求对X进行3次独立观测中,至少有2次的观测值大于2的概率