实验3
实验任务1
test1.c
#include <stdio.h>
char score_to_grade(int score); //函数声明
int main() {
int score;
char grade;
while (scanf("%d", &score) != EOF) {
grade = score_to_grade(score); //函数调用
printf("分数: %d,等级: %c\n\n", score, grade);
}
return 0;
}
//函数定义
char score_to_grade(int score) {
char ans;
switch (score / 10) {
case 10:
case 9: ans = 'A'; break;
case 8: ans = 'B'; break;
case 7: ans = 'C'; break;
case 6: ans = 'D'; break;
default: ans = 'E';
}
return ans;
}
截图

问题
问题1:功能是将读到的分数转换成等级字母;int;char;
问题2:ans是char变量,应用单引号'A';case后没有break,例如score=85,会依次执行ans='B',ans='C',ans='D',ans='E',最后ans的结果一定是'E'
实验任务2
test2.c
#include <stdio.h>
int sum_digits(int n); // 函数声明
int main() {
int n;
int ans;
while (printf("Enter n: "), scanf("%d", &n) != EOF) {
ans = sum_digits(n); //函数调用
printf("n = %d, ans = %d\n\n", n, ans);
}
return 0;
}
// 函数定义
int sum_digits(int n) {
int ans = 0;
while (n != 0) {
ans += n % 10;
n /= 10;
}
return ans;
}
截图

问题
问题1:将整数逐位相加
问题2:能,第一种是迭代,自下而上,每次取出末尾数字相加;第二种是递归,自上而下,把大问题n拆成小问题+末位数字
实验任务3
test3.c
#include <stdio.h>
int power(int x, int n); // 函数声明
int main() {
int x, n;
int ans;
while (printf("Enter x and n: "), scanf("%d%d", &x, &n) != EOF) {
ans = power(x, n); // 函数调用
printf("n = %d, ans = %d\n\n", n, ans);
}
return 0;
}
// 函数定义
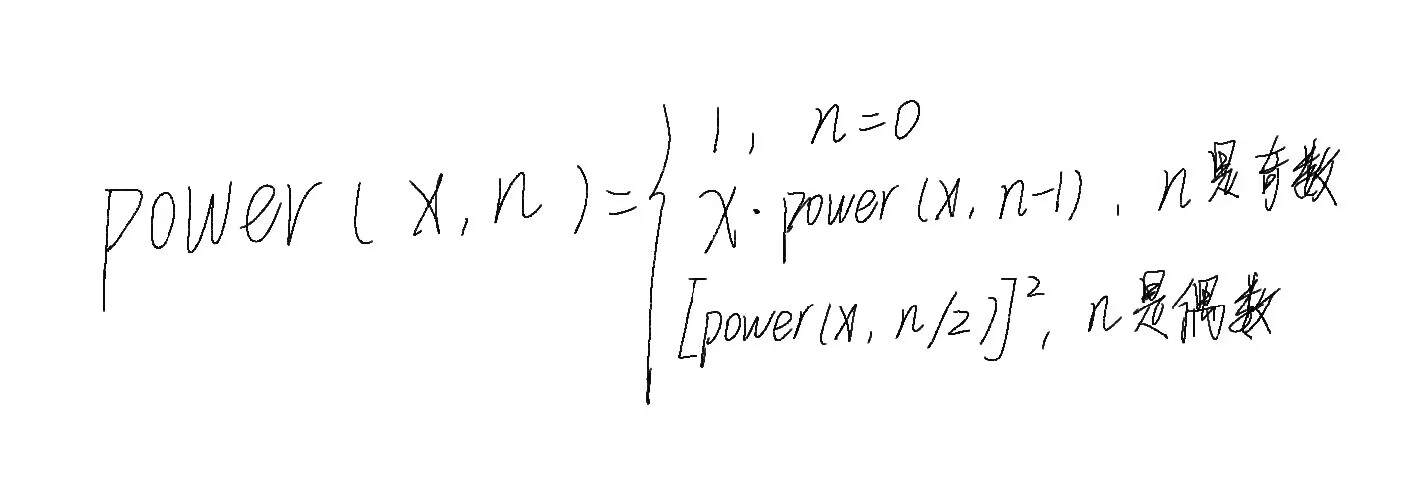
int power(int x, int n) {
int t;
if (n == 0)
return 1;
else if (n % 2)
return x * power(x, n - 1);
else {
t = power(x, n / 2);
return t * t;
}
}
截图

问题
问题1:计算x的n次幂
问题2:是
实验任务4
test4.c
#include <stdio.h>
#include <math.h>
int is_prime(int n); // 函数声明
int main()
{
int n;
int s=0;
printf("100以内的孪生素数:\n");
for(n=2;n+2<=100;++n)
{
if (is_prime(n) && is_prime(n + 2)) //函数调用
{
printf("%d %d\n", n, n + 2);
++s;
}
}
printf("总数:%d\n", s);
return 0;
}
// 函数定义
int is_prime(int n)
{
for (int i = 2; i <=(int) sqrt(n); ++i)
if (n % i == 0)
return 0;
return 1;
}
截图

实验任务5
test5_1.c
#include <stdio.h>
int func(int n, int m); //函数声明
int main() {
int n, m;
int ans;
while (scanf("%d%d", &n, &m) != EOF) {
ans = func(n, m); //函数调用
printf("n = %d, m = %d, ans = %d\n\n", n, m, ans);
}
return 0;
}
// 函数定义
//迭代
int func(int n, int m)
{
if(m == 0||m==n)
return 1;
if (m > n)
return 0;
long long ans=1;
for (int i = 1; i <= m; ++i)
ans = ans*(n-m+i)/i;
return (int)ans;
}
截图

test5_2.c
#include <stdio.h>
int func(int n, int m); //函数声明
int main() {
int n, m;
int ans;
while (scanf("%d%d", &n, &m) != EOF) {
ans = func(n, m); //函数调用
printf("n = %d, m = %d, ans = %d\n\n", n, m, ans);
}
return 0;
}
// 函数定义
//递归
int func(int n, int m)
{
if(m == 0||m==n)
return 1;
if (m > n)
return 0;
return func(n - 1, m) + func(n - 1, m - 1);
}
截图

实验任务6
test6.c
#include <stdio.h>
//函数声明
int gcd(int a, int b, int c);
int main() {
int a, b, c;
int ans;
while (scanf("%d%d%d", &a, &b, &c) != EOF) {
ans = gcd(a, b, c); //函数调用
printf("最大公约数: %d\n\n", ans);
}
return 0;
}
// 函数定义
int gcd(int a, int b, int c)
{
int min=a;
if (b < min)min = b;
if (c < min)min = c;
for (int i = min; i >= 1; --i)
if(a% i == 0&&b% i == 0&&c% i == 0)
return i;
}
截图

实验任务7c
test7.c
#include <stdio.h>
#include <stdlib.h>
//函数声明
void print_charman(int n);
int main() {
int n;
printf("Enter n: ");
scanf("%d", &n);
print_charman(n); //函数调用
return 0;
}
//函数定义
void print_charman(int n) {
int i,s,k;
for (i = n; i >= 1; i--) {
for (k = 1; k <= n - i; ++k)
printf("\t");
for (s = 1; s <= 2 * i - 1;++s)
printf(" O \t");
printf("\n");
for (k = 1; k <= n - i; k++)
printf("\t");
for (s = 1; s <= 2 * i - 1; s++)
printf("<H>\t");
printf("\n");
for (k = 1; k <= n - i; k++)
printf("\t");
for (s = 1; s <= 2 * i - 1; s++)
printf("I I\t");
printf("\n");
}
}
截图



实验总结
收获:1.更深刻的理解了迭代和递归算法思维区别:迭代是自下而上,从初始值通过循环计算得到最终结果;递归是自上而下,将大问题拆成一个或多个子问题,直到子问题简单到可以直接求出结果
2.对函数的结构认识更加清晰
新发现:在实验任务4中,将n的初始值定义为2,使程序不必计算n<2的情况,代码变简洁了,且输出的结果依然正确

浙公网安备 33010602011771号