在国家质检总局发布的《特种设备目录》中,立体车库分为九大类,分别是:
- 升降横移
- 简易升降
- 垂直循环
- 水平循环
- 多层循环
- 平面移动
- 巷道堆垛
- 垂直升降
- 汽车专用升降
影响立体车库运营服务效率主要是控制系统软件部分的存取车调度策略算法,而用户排队时间与车库服务效率息息相关
巷道堆垛类型:根据泊车位的分布情况分为独立型和非独立型
- 独立型车库:是指堆垛机对汽车位中的任何一个进行操作操作时,运行时间均与其他车位的使用情况无关;
- 非独立型车库:是指该车库的相邻两排是紧挨着的,堆垛机在对其中一排某车位进行存取时,运行时间与其它排的车位使用情况有关。如下图:
立体车库车辆存取策略及算法研究目标
1、排队论简介
日常生活中存在大量的排除现象,如:排除等车、排除买票、飞机降落等,凡是需要按照一定次序进行的活动,都要求排队。可以说,它应用与一切服务系统,特别是在交通系统、生产管理系统、存储系统、通信系统等方面应用更为广泛。
在各种排除系统中,将其中要求得到服务的对象称为“顾客”,如:乘客、包裹、飞机、汽车等,将提供服务的对象称为“服务机构”“服务窗”。
排队论(Queuing Theory):又被称为随机服务系统理论。它是对机构的服务时间、服务对象到达的时间进行统计,得出服务对象的等待时间、服务对象的队列长度、机构忙期长短等数量指标的统计规律,并根据这些规律对服务机器的结构进行改进或对服务对象重新组织,使得服务机构的费用最低同时又能满足服务对象的需求。
2、排队规则
由于顾客源是个动态的实体,队列的类型分为有限队列和无限队列两种。排队规则一般分为三种:
- 1、等待制:顾客到达服务系统时所有服务台都在忙,顾客加入排除行列等待服务。
- 2、损失制:顾客到达服务系统时所有服务台都在忙,顾客不愿等待自动离开
- 3、混合制:它是介于等待制和损失制之间的一种规则,允许顾客排除,但又不允许队列无限延长。
在等待制和混合制中又为分以下几种:
- ROS:随机服务
- FCFS:先来先服务
- LCFS:后来先服务
- 优先非抢占服务
- 优先抢占服务
3、排除系统的符号表示
在排除论中,根据到达模式、服务机构、排队和排队规则对排队系统进行描述和分类。排队系统用Kendall记号表示为:X/Y/Z/A/B/C,其中:
- X:代表相继到达间隔时间的分布;
- Y:代表服务时间的分布;
- Z:代表并列的服务设备的数目;
- A:代表系统的容量(即可容纳的最多顾客数目)
- B:代表顾客 源数目
- C:代表服务规则
4、在车辆存取的过程中,旋转台、台车、升降机行程是固定的,在速度一定的情况下,运行时间为定值。由于存取车时泊车位不同,堆垛机依靠位置不同,堆垛机的运行行程不同,运行时间就不定。
- 如何分配泊车位,如何设计堆垛机的存取路径,如何确定堆垛机不工作时停放的合理位置,这些就是车辆存取策略应该主要研究的问题
巷道堆垛机立体车辆的存取策略
主要包含:
1、存车优先策略:堆垛机完成存取操作后,回到转换层待命,下辆车到来后可以直接存入,无需等待。
- 优点:若某时间段内连续存车的威客数量较多,并且车辆到达 的时间间隔大于每次存车的服务时间时,就可以大大减少顾客 的等待时间
- 缺点:每次完成存车操作后,堆垛机要回到转换层,增加了堆垛机的行程,同时也增加了能耗
2、取车优先策略:堆垛机完成存车操作后,在原地待命;完成取车操作后,回到原取车位待命。有取车命令时,堆垛机直接从该车位运行至指定的取车位。
- 优点:收到取车命令后,堆垛机可以从原取车位直接运行至指定车位,在一定程度上节约了顾客 的等待时间;
- 缺点:当取车完成后,堆垛机还需回到原取车位等待,增加了堆垛机的运行行程,能耗增加
3、随机存取策略:指堆垛机按照存取指令,随机的对车辆进行存放,系统按照一般路径搜索的方法,分配车位
4、分区存取策略:根据车辆存放时间的长短,分别存放在不同的泊车位区域
- 一般情况下,存放时间长的位置在离转换层较远的区域,存放时间短的放置在离转换层较近的区域,VIP客户单独存放。
- 这样可以根据车辆存放时间有效的利用转换层附近的最佳停车位,减少顾客等待时间,这也是分区存取和随机存取的最大区别所在。
5、原地待命策略:堆垛机完成存取操作后,在原地等待下次的存取指令;原地待命策略不用进行前期准备工作,但该策略是让车库被动的接受服务。
6、交叉存取策略:是原地待命策略在存取顺序上的优化。
- 当车库在一定时间内有多项存车和取车任务时,系统按照一定的顺序进行交叉存取,使顾客等待的时间最短。
- 交叉存取策略不遵循FCFS的规则,对一定时间段内的车辆进行存车和取车分组,然后对两组进行交叉服务,具体的存车和取车过程仍然遵循FCFS规则,这样的交叉存取可减少堆垛机的总行程从而减少服务时间。
7、自调度存取策略:在存取车辆不多时,堆垛机利用空闲,对车辆的泊车位进行调整,原则为存放时间长的放在离转换层远的位置,即将来取的车辆放置在转换层附近的易取位置。
实际应用中存取策略示例:
堆垛机工作模式
堆垛机获得相应的工作任务后,一般能够选择两类不同的工作模式,也就是单一指令跟复合指令。
- 单一指令模式:是指单次存车或取车,一次只完成一个指令的操作,每一次都是一个独立的周期;
- 复合指令模式:进行工作并非独立的运行,而需要采取合作的方式进行,当每次的任务完成后,继续回到相应的出入口位置,实现了多个指令的操作即代表一个周期
其对应的运行模式参考图如下:
数据模型:
将巷道堆垛式立体车库模型简化,如下图所示,车辆的存取分成X轴,Y轴方向简易搬运坐标。车辆通过出入口进入巷道,由堆垛机进行搬运至空闲的停车位,X轴方向负责堆垛机横向运动,Y轴方向负责堆垛机在巷道进行竖直运动,即对堆垛机搬运存取车辆所在车库的相同层数a,堆垛机垂直升降运动所在层数为b,因此,可将简化的二维模型用坐标(a,b)来表示当前停车位置。
存取车辆的主要步骤示例:
假设:
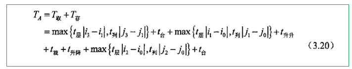
以存车优先策略为例,存一辆车所需时间记为 TA、所需能耗记为EA,则:
为更好的建立存取策略模型,不考虑升降机升降过程、旋转台旋转过程、台车存取过程、堆垛机水下垂直过程中空载或满载的影响,设定巷道堆垛式立体车库模型中升降机、旋转台、台车以及堆垛机在相邻层和列间移动的工作时间和能耗为定值。
- 升降机升(降)工作一次的时间为 3s
- 旋转台旋转工作一次的时间为 4s
- 台车存取工作一次的时间为 6s
- 堆垛机在相邻两层间移动的时间为 3s
- 堆垛机在相邻两列间移动的时间为 4s
- 转换层坐标为(2,1)
将上述值分别带入模型,则
算法研究:
常用算法如下,通过改进或组合方式实现:
- 专家库算法
- 遗传算法(GA)
- 粒子群算法(PSO)
- 模拟退火算法(SA)
- 蚁群算法(ACO)
路径搜索算法:
- 深度优先搜索(DFS):是一种递归的搜索算法,它从起始节点开始,沿着一条路径一直搜索到底,直到找到目标节点或无法继续搜索为止。如果搜索到死胡同,就回溯到上一个节点,继续搜索其他路径。深度优先搜索的优点是占用内存较少,但可能陷入无限循环。
- 广度优先搜索(BFS):是一种迭代的搜索算法,它从起始点节点开始,先搜索与起始节点相邻的节点,然后再搜索与这些节点相邻的节点,依次扩展搜索范围,直到找到目标节点或搜索完所有节点。广度优先搜索的优点是能够找到最短路径,但占用内存较多。
- 迪杰斯特拉算法(Dijkstra):是一种贪心算法,用于求解带权重的图中的最短路径。它通过维护一个距离表,不断更新起始节点到其它节点的最短距离,直到找到目标节点或更新完所有节点。Dijkstra算法的时间复杂度高,但能够找到最短路径。
除以上常见的路径搜索算法外,还有许多其他的变种算法,如:Bellman-Ford算法、Floyd-Warshall算法等,不再描述。
参考资料:
- 基于巷道堆垛式立体车库的车辆存取策略算法研究(重庆交大)
- 立体车库控制系统调度优化算法研究(成都理工)
- 基于巷道堆垛式立体车库存取策略的研究(吉林化工)
- 基于遗传蚁群算法的堆垛式立体车库路径优化研究(中北大学)
- 巷道堆垛式立体车库高效停取车方案的研讨(福建农林大学)
- 巷道堆垛式立体车库排队及库位优化研究(重庆大学)
- 智能立体车库控制系统开发及排队模型的优化(兰州理工)
- github: avg_wcs





浙公网安备 33010602011771号