评价类-2.TOPSIS法(优劣解距离法)
同样是评价类模型,先拉踩一下之前的层次分析法(弊端)
1.评价的决策层(n)不能太多 2.如果决策中指标数据是已知的,使用更加准确的方法
由此引出TOPSIS法:
两种指标:极大型指标(效益型指标)越大越好,如:成绩、分数等
极小性指标(成本型指标)越小越好,如:成本等
然而有两种指标并不方便比较与计算,故将进行指标正向化,也就是将极小型指标转化为极大型指标的方法。
公式:max-x
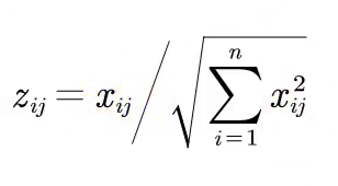
而为了消去不同指标量纲的影响,需要对正向化后的矩阵进行标准化处理:、

假设有n个要评价的对象,m个评价指标,计算评分时:z与最大值的距离/(z与最大值的距离+z与最小值的距离)
最后对评分进行归一化
补充其他两种指标:中间型指标(靠近某个值)区间性指标(落在某个区间)
第一步:将原始矩阵正向化
极小→极大:可以使用上面提到的max-x,也可以在元素全部为正数时使用1/x。
中间→极大:x'=1-|x-xbest|/M(M=max【|x-xbest|】)
区间→极大: M={a-min,max-b} 
第二步:正向化矩阵标准化
第三步:标准化矩阵归一化

浙公网安备 33010602011771号