路飞项目---day06(git多分支,git远程仓库,ssh方式连接远程仓库,协同开发,冲突解决,线上分支合并,远程仓库回滚)
上节回顾
#1 前端首页
#2 轮播图接口
Banner.vue---->created--->axios--->渲染在页面上
v-if
# 3 git 介绍
-软件,版本管理软件
-代码版本管理,协同开发,合并代码。。。
-下载---》分平台---》一路下一步安装
-命令行中 输入 git,右键
# 4 git 和svn区别
-集中式管理
-分布式管理
# 5 git gitee github gitlab
-git软件
-gitee远程git仓库,网站,放开源代码,私有代码,国内最大的开源仓库
-github
-gitlab:公司里的
# 6 git的工作流程
-工作区:修改操作代码的地方
-暂存区:工作区的变更提交到暂存区
-版本库:暂存区提交到版本库,你的变更就被版本管理了
-回退,查看之前版本
# 7 常用命令
-git init 初始化仓库
-git status 查看状态[工作区,暂存区]
-git add 把工作区变更提交到暂存区
-git commit -m '一定要加注释' 把暂存区提交到版本库
-git reflog
-git log 查看版本信息
-设置用户名和邮箱(全局局部)
-git checkout . 把工作区变更回退
-git reset HEAD 把暂存区拉回到工作区
-git reset --hard 版本号 回退到某个版本 记住
# 8 忽略文件
-仓库中有些文件,文件夹不需要提交到版本库,来管理
-node_models
-.idea
-*.pyc
-*.log
-使用步骤
-在仓库目录下新建.gitignore
-在里面写忽略文件,文件夹
直接写文件名
/文件名
/目录名/xx.txt
/*.txt
今日内容
1 git 多分支
--------------------------------------------
# 为什么要有分支
-可以保证,主分支的版本都是可以查看的版本
-我们都在开发分支开发,开发完成,合并到主分支
--------------------------------------------
# 分支操作:
-分支查看
git branch
-分支创建
git branch 分支名
git branch dev
-分支切换
git checkout dev # 切换到dev分支
-分支删除
git branch -d dev # 注意当前如果在dev分支上是删不掉dev分支的
--------------------------------------------
-合并分支:(重要)
-把dev分支合并入master主分支里面去
1. 先来到master分支: git checkout master
2. 执行合并命令:git merge dev # 把dev合并到我(master)身上
现在dev分支的增删改的结果就合到master主分支了
打个比方,在dev里面删掉a文件,add commit过后,切到主分支
执行dev分支合并到master主分支后,master主分支里面a分支也删掉了
同理dev分支新增修改文件后,到主分支里面执行合并,主分支里面就也是新增修改后的样子
# 分支合并可能会出冲突
--------------------------------------------
# 公司里分支方案:小公司
master分支,dev分支,bug分支 (三分支结构)
所有人在dev分支开发,开发完成合并到主分支
-master分支,dev分支,bug分支 ,个人分支,
个人在个人分支上开发,开发完成合并到dev分支
--------------------------------------------
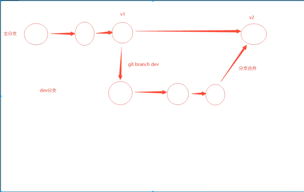
合并分支示意图

.
当切换到dev分支后,我们的增删改操作,都只影响dev分支,
切换到master主分支后,可以看到还是原来的样子


.
.
.
.
.
.
.
2 git远程仓库
# 把本地的版本提交到远程仓库
# gitee,github,gitlab...
# gitlab的搭建过程:https://zhuanlan.zhihu.com/p/413217715
# 讲课以 gitee作为远程仓库
-------------------------------------------------
# luffy_api 写好了一部分功能,要把代码提交到远程仓库
# 操作步骤:
本地:
1 在luffy_api 敲git init
2 设置忽略文件(.gitignore)
3 git add .
4 git commit -m '第一次提交'
------提交到了本地版本库-------被版本管理了--------------
#
远程:
1 远程要创建仓库:gitee上创建仓库,右上角 +
2 填一些信息,保证仓库是空的
本地:
1 安装远端提示的步骤操作
2 设置用户和邮箱 # 要设置和gitee的用户与邮箱一样
3 咱们是已有仓库 先 cd luffy_api
4 添加一个远程仓库,远程仓库地址名字叫origin,地址就是网址
git remote add origin https://gitee.com/tengjincheng/luffy_api.git
5 把本地的版本库推送到远程仓库
# 把本地当前所在分支,推送到 origin对应的远程的master上
git push origin master
6 需要输入用户名密码,输入一次,以后就不用输入了
(因为本地保存了:windows里面有凭据管理)
-----------------------------------------
# 查看远程仓库 git remote
# 再添加一个 远程仓库地址名字叫teng的远程仓库 仓库的地址就是后面的网址
git remote add teng https://gitee.com/tengjincheng/luffy_api.git
也就是如果你有好多个远程仓库,那么你本地的仓库代码修改后,要提交到远程
那么你先确定对应的远程仓库的http或者ssh对应的网址是什么
然后执行 git remote add 远程仓库名字 仓库网址
再执行 git push 远程仓库名字 对应的分支名字
------------------------------------------
------------------------------------------
# 补充:
# 如果提交了,再写忽略文件的步骤
luffy.log--->暂存区---》版本库
.gitignore---》写上忽略比如*.log 但是不会被忽略,
只要luffy.log有变化还是会被监控到
先删除luffy.log---》会被监控到---》add,commit---》版本库中已经没有luffy.log
再新建的luffy.log,就不会被管理了

.
.
设置和gitee的用户与邮箱一样

.
.
windows里面有凭据管理,输入过一次,以后本地仓库代码推到远程仓库,就不要输密码了

.
.
.
.
.
.
3 ssh方式连接远程仓库
# 输入了用户名密码------》才可以提交代码上去--------》
# 使用的是https的协议提交的代码-----它需要输入用户名和密码
---------------------------------------------
---------------------------------------------
# 咱们要使用ssh方案:需要公钥和私钥------》公司里这种方式多
私钥在本地保存
公钥配置到gitee上
以后再提交代码,不需要其他任何认证了,密码不用输了
# 生成公钥私钥操作步骤:
-1 在cmd命令窗口中执行 ssh-keygen -t ed25519 -C "965493842@qq.com"
一路回车
-生成在:C:\Users\teng'jin'cheng/.ssh 两个文件,一个公钥,一个私钥
-2 把公钥,配置在gitee上-----设置------SSH公钥
复制公钥粘贴到gitee的SSH公钥里面去
之前origin对应的地址是 https的,
现在要使用ssh提交代码,需要把它删除,再增加成ssh的协议
在命令行里面输入命令
git remote remove origin # 先删掉原来的hhtp地址名的origin
git remote add origin git@gitee.com:tengjincheng/luffy_api.git
# 再建一个ssh地址名的origin
# git remote add teng git@gitee.com:tengjincheng/aaaa.git
# 生成一个地址名叫teng,地址叫git@gitee.com:tengjincheng/aaaa.git
# 的远程仓库
-----------------------------------------
生成公钥

.

.
.
.
.
.
4 协同开发
# 我[仓库管理员]创建了仓库,我对仓库有各种权限
# 我们要多人开发(张三,李四),张三李四在自己的仓库中,能看到我的项目吗?看不到
# 我[仓库管理员],把张三李四设置为该仓库的开发者,设置完成后,
# 在张三李四的仓库中就能看到这个项目了
-------------------------------------------------
# 仓库管理员,邀请开发者进入
-邀请的开发者,对这个仓库就有读写权限,他们就可以开发代码,提交
# 开发者,本地没有代码,需要把代码从远程仓库拉下来
1 把代码从远程仓库 clone 下来
git clone git@gitee.com:tengjincheng/luffy_api.git
2 使用pycharm打开,配置好解释器,安装依赖
3 开发代码,开发完
git add .
# 设置用户名和邮箱,设置局部,在.git里面的config里面能看到
git config user.name lqz
git config user.email 3@qq.com
# 如果不设置,就用全局的C:\Users\teng'jin'cheng\.gitconfig
git commit
git push origin master # 开发者贡献代码后再推到远程仓库去!!
-------------------------------------------
-------------------------------------------
# 你刚去公司,你的步骤
1 自己注册,hr给你 gitlab 账号和密码
-自己去你的账号里,配置ssh
2 老大会把一个仓库地址给你 【它已经把你加成开发者了】 https ssh
3 clone下来代码,建个文件夹 执行命令 git clone 仓库地址
4 使用pycharnm打开,配置环境-------保证代码能运行起来
5 开发代码,本地提交---》push到远端
add
commit
push

.
库管理员邀请开发者进入,可以直接用邮箱添加,也可以通过连接邀请
复制连接发给要邀请的人,别人点击就自动变成开发者了,
当然可以把需要管理员审核的框勾上

.
.
.
.
.
.
.
5 冲突解决
# 出现冲突的原因
1 多人在同一分支开发
2 分之合并出现冲突
-------------------------------------------
# 首先为什么要pull往下拉代码,因为你一开始从远程仓库克隆的代码
# 在加代码的过程中,可能别人也在一直往master主分支里面贡献代码
# 当你想将代码提交到远程仓库的时候,可能master已经被别人升了好几版了
# 这个时候你的master已经不是最新的了,你推不上去的!!!
# 所以要你先将远程仓库最新的代码pull下来,自动与自己的代码合并
# 然后你才能再往远程的仓库上推!!!
.
# 多人在同一分支开发冲突
-张三:
git pull origin master
在requirements.txt,最后一行加入 lqz
git add .
git commit -m''
git push origin master
------------------
-我:
在requirements.txt,最后一行加入 lqz
git add .
git commit -m''
git pull origin master # 拉最新代码下来自动与自己代码合并
# 冲突了,代码飘红
# 解决冲突:
# 阅读代码,选择保留或删除别人或自己的代码,
# 去掉飘红的冲突的箭头, 再执行add commit 后
# 提交到远程仓库 git push origin master
# 这样你的版本就推上去了!!!
# 冲突出现的样子:你如果要删除别人的代码,你需要跟别人说一声
<<<<<<< HEAD 我的代码
print('刘亦菲')
======= 它的代码
print('彭于晏')
>>>>>>> 6f720edbd84c8744b1c7c10767fb89a5d0fa98f5
-----------------------------------------
# 避免出现冲突!!!!!!
-你如果想少出现冲突,勤拉取代码 git pull origin master
保证自己代码是最新的
.
.
.
# 冲突出现的原因2,分支合并出冲突
-我:
1 创建dev分支
git branch dev
2 在dev分支的views.py 中第2行加入代码 print('heihei')
3 提交到本地仓库
--------------------------------------
-我:
1 在主分支的views.py 中第2行加入代码 print('hahaha')
2 提交到版本库
3 在主分支合并代码 git merge dev
4 冲突了,看飘红的地方代码,解决飘红的地方,确认保留谁的或是都要
5 再提交代码,到此结束
----------------------------------------
总结就是:
如果主改了一个地方,支也改了同一个地方,支往主里面合并的时候
这个时候git不知道要保留谁的,就会出冲突提示你,去解决
但是如果主没变化,支增删改操作,支往主里面合并的时候,主也对应的改掉了
同理拉代码与自己代码合并的时候也是一样,你的文件没改,
拉下来的文件改了,一合并你的文件也改了,你的文件没删,
拉下来的文件删了一些代码,一合并你的对应的代码也删掉了
只有你的代码和拉下来的代码都改的同一个地方的时候,
git分不清要保留谁的,就会起冲突,提示你来解决

.
.
.
.
.
6 线上分支合并
# 线下分支合并
git merge dev
---------------------------------
# 线上 分支合并
-gitee上,新建一个dev888分支 ,点点点创建出来
-本地要同步 远程dev888分支
git pull origin dev888 # 拉下来了,还看不到
git checkout dev888 # 只有切过去,才看的到
---------------------------------------
---------------------------------------
-在本地的dev888分支上开发代码
写了代码后
git add
git commit # 提交到本地的仓库了
-再从本地仓库 推到远程dev分支
git push origin dev888
-master中没有代码,dev中有提交的,现在要线上分支合并
-把远程的dev合并进远程的master
提交pr 或者叫提交rr
-在网站上,申请提交pull request
-领导审核,测试,通过后,点击合并
-线上dev就合并进线上的master了
gitee上,新建一个分支



.
.
在远程建了一个dev888分支,但在本地还没有,将远程的dev888分支也拉到本地
拉到本地后,要切换到dev888后,才能看到dev888已经存在了


.
.
把远程的dev合并进远程的master,提交pr,一定是在master主分支下提交pr






.
.
还有一种情况:
还可以本地创建分支,修改代码后,推到远程的分支上去
git branch dev999
git checkout dev999
添加点代码,然后add commit
git push origin dev999 # 也推到远程dev999里面去了


.
.
.
.
.
.
.
.
.
7 远程仓库回滚
# 不要用!!!
# 想远程的代码,变成最初的状态
--------------------------------------
# 步骤:
1 本地版本回退
git log # 找到要回退的版本号
git reset --hard 版本号 # 本地先退回到对应版本
2 强行推到远端 (千万别这样搞,会把别人代码搞没了的)
git push origin master -f
.
.
.
.
.
.
.
作业
# 把你们的项目提交到gitee上,使用ssh连接
# 把你同桌作为协同开发者
# 你同桌给你制造冲突,你来解决
# 上午讲的按照笔记操作一遍

浙公网安备 33010602011771号