《微积分二》个人期末复习
学到最后可千万别翻车啊。。。
6.1

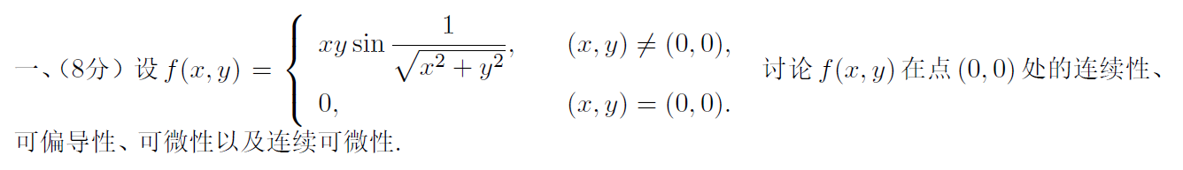
第一题就卡了,难绷,期中把方向导数忘了,现在连续可微也忘了,真彳亍
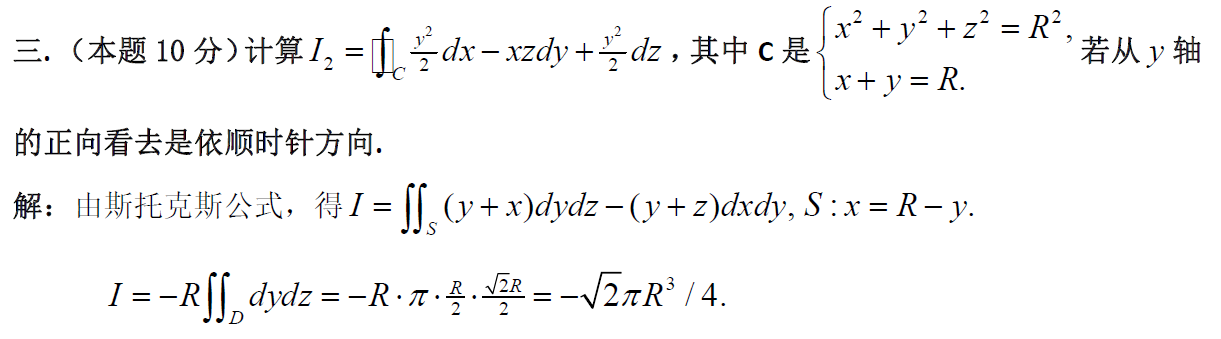
然后是个曲面系的题,冷门考点不能落下。

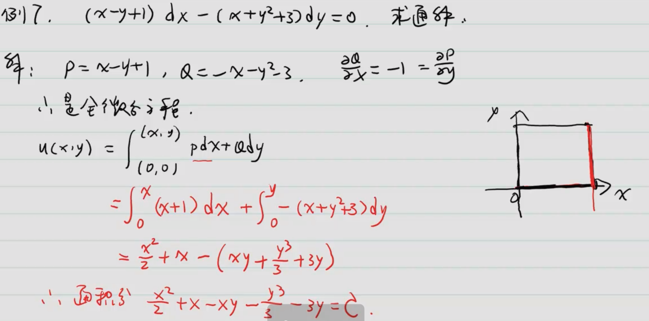
能参数化就参数化别犹豫。复习了第二类曲线积分、第二类曲面积分涉及到的定向问题

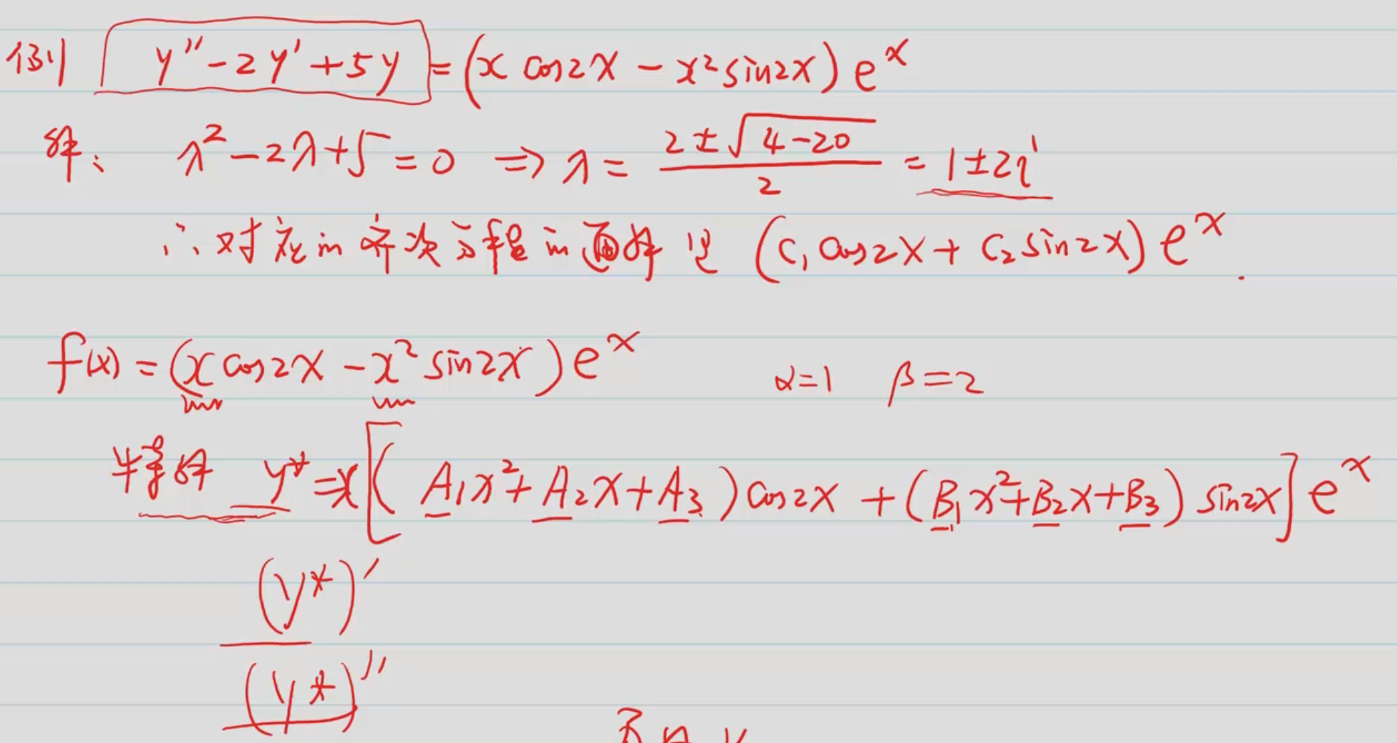
两个常微都出了问题,第一个别忘了求的是有初值条件的特解啊!第二个大胆代换,求导的时候各个变量之间的关系!
6.11

看好区域,有没有规定是第一象限?
解微分方程要看好初值条件别带着字母傻算。

方向看好,参数化化简复杂可以放弃。

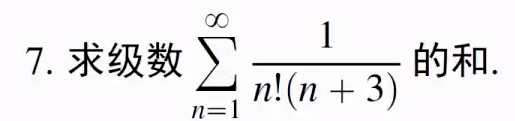
讲真这题考察的主要是技巧,但苗栋肯定会选择斯特林公式。。两个都要学会!
这题也是初值、首项容易出问题

别犯傻,分母先换成a
6.12

无内鬼,来点见得少的题型。

格林公式不能全消掉,可以把xdy那一项单独拿出来,比算二重积分好算些(对本题来说)
6.13

又是前几项的问题。。。。看好求和下标啊喂

最基础的因式分解也不会了是吧!

高阶特征方程解的少,多练两个。
最后的积分的步骤得熟悉啊

求和函数这里你别给我把迪利克雷定理忘了

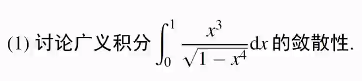
怪题,但是好。


这题针布戳,考查了调和级数基本功的同时考察了裂项之类的技巧~

乍一看有点新奇,事实上顺着它做就行了, 勉强算个好题

浙公网安备 33010602011771号