CMC备赛个人记录
大纲
级数
敛散性判断【比较判别法、比值判别法、根值判别法、积分判别法(注意,到这里的都是正项级数的判别法)、莱布尼茨判别法、阿贝尔判别法、迪利克雷判别法】、幂级数、傅里叶级数
幂级数的收敛半径、收敛区间、收敛域、和函数、阿贝尔引理

傅里叶级数:周期为\(2\pi\)的,迪利克雷定理,周期为2l的
微分方程
一阶微分方程:变量可分离的(注意奇解)、齐次方程、一阶线性方程、伯努利方程、全微分方程
可降阶的二阶微分方程
线性微分方程:二阶线性微分方程、二阶常系数线性齐次微分方程、二阶常系数线性非齐次微分方程、欧拉方程
向量代数与空间解析几何
叉乘混合积
空间中的平面和直线:平面一般式截距式三点式,直线点向式两点式一般式参数式
距离和角度的各种计算
空间中的曲面和曲线:空间曲面旋转曲面常见二次曲面法线切平面,空间曲线切线法平面
多元微分学
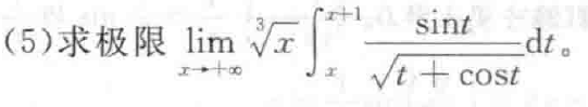
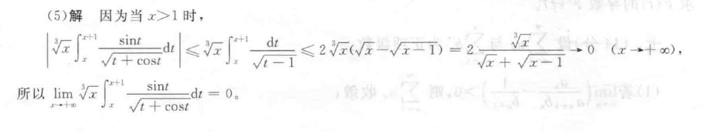
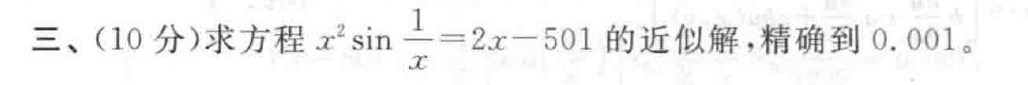
积分
那些典

回忆:证单调有界是证存在极限的常用方法。

虽然是按等价无穷小的方法写的但是明显用泰勒展开去想就行了。

简单但很好的考察了连续性。

简单但容易晕,看清谁是谁的函数。

难点。

记住第二项。这个和伯努利数有关系。



回顾一下隐函数吧!
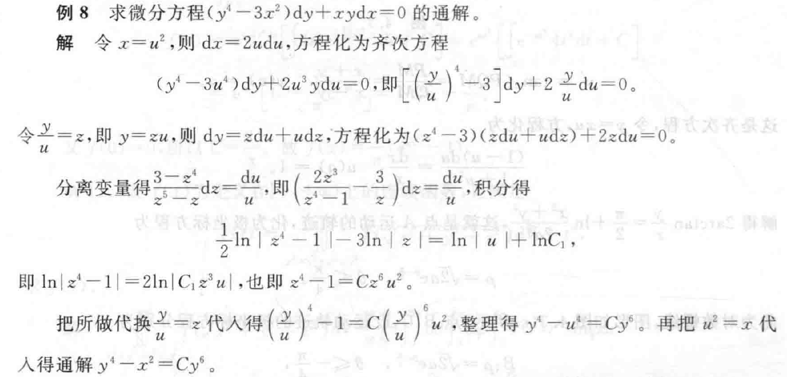
微分方程:一阶、可降次二阶、线性微分方程

灵活!

回顾!

等价无穷小替换条件警告!

做一次就会的变形罢了。


两个方法都要熟悉。回顾\(\Gamma\)函数。






有两个根好证。用罗尔定理反证恰有两个根还是挺妙的。


好狠的放缩。。。


学到一招。好久没用过这个形式的泰勒展开了。答案倒是好猜的。




两道都是好题、典题。

一些常用数学工具
- 级数收敛判别法
正项级数部分和有界
阿贝尔判别法

狄利克雷判别法

- stolz定理

冲刺!
隐函数求导躲不掉的一道题


浙公网安备 33010602011771号