用位运算实现加减乘除(3)
用位运算实现加减乘除(2) 中的div方法要求a和b都能转成正数,但是:
系统最小值没法转成绝对值:Integer.MIN_VALUE
所有整数中只有这个数,是转不出绝对值的。
int a = Integer.MIN_VALUE;
System.out.println(-a);
所以分4钟情况讨论:

重点解析第3中情况:
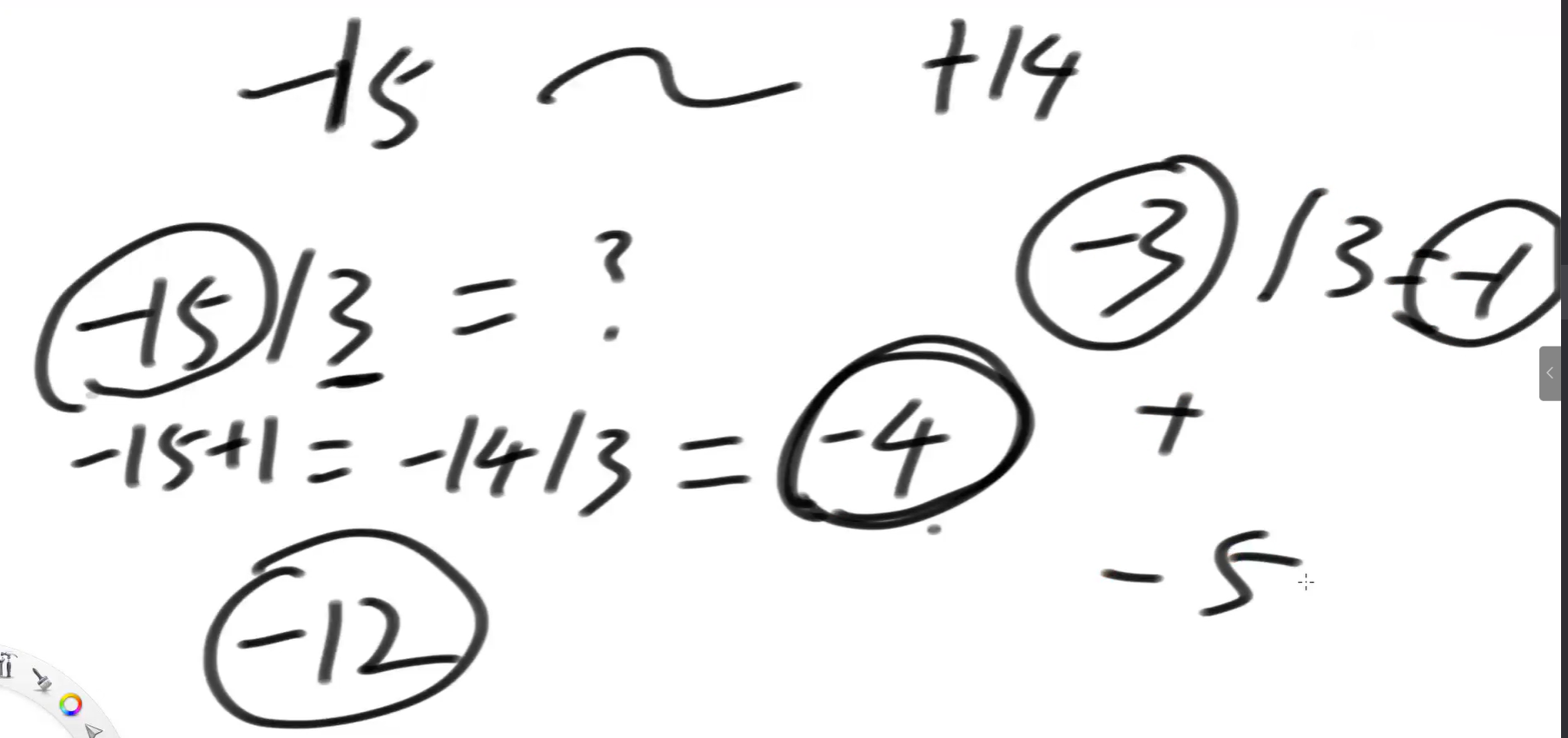
假设-10就是系统最小,9是系统最大。我们没法把-10/2 转成 10/2,因为系统没有正10,系统最大值只到9.
那怎么算-10/2呢?
-10 先加1 得到-9,将-9/2得到-4。将-2*4 = -8,将-8和-10去比差了多少。-10 - (-8) = -2,差了-2。再将-2/2 = -1,加上原来的-4,得到-5.


其实很好理解:-4*3 + (-x) * 3 = -15
x = (15 - 4*3)/ 3
x = 1
所以就是-4 + -1 = -5
代码实现:
package com.cy.class05;
/**
* 位运算实现+-*\\/
* 测试连接:https://leetcode.com/problems/divide-two-integers
*/
public class Code03_BitAddMinusMultiDiv {
public static int add(int a, int b) {
int sum = a;
while(b != 0) {
sum = a ^ b; //无进位相加信息 -> sum
b = (a & b) << 1; //进位信息 -> b -> b'
a = sum; //无进位相加信息a -> a'
}
return sum;
}
/**
* 返回n的相反数
* 相反数 = 取反 + 1
* -n = ~n + 1
*/
public static int negNum(int n) {
return add(~n, 1);
}
public static int minus(int a, int b){
return add(a, negNum(b));
}
/**
* 乘法
*
* 右移:
* b >> 1,表示右移1,最高位拿符号位来补。
* b >>>1, 表示右移1,最高位一律拿0来补。
*
* 支持负数,道理不好解释,负数的情况下到底发生了什么,跟补码有关,你只要知道同样这套方法既支持正数也支持负数。
*/
public static int multi(int a, int b) {
int res = 0;
while(b != 0) {
if ((b & 1) != 0) {
res = add(res, a);
}
a <<= 1;
b >>>= 1;
}
return res;
}
public static boolean isNeg(int n) {
return n < 0;
}
/**
* 除法
*
* 这个方法在正式开始之前,a和b一定要都转成正数
*
* x是非负的,第32位是符号位,肯定是0,所以没必要右移31位。所以for循环i从30开始。
*
* 这里^的运算是:非短路逻辑异或,两边的表达式都会执行
* boolean a = true, b = false;
* boolean c = a ^ b; // true(不同时为 true/false)
* 如果需要逻辑异或(对布尔没必要值),直接用 != 更直观: boolean xor = (a != b); // 等效于 a ^ b
*
* a ^ b: a和b不同返回true,否则返回false
*
* 这个除法必须要求x和y转成正数的形式。
* 这个方法一定是要能把a和b转成正数才能继续算,但系统最小值没办法转绝对值,所以有局限。
*/
public static int div(int a, int b) {
int x = isNeg(a) ? negNum(a) : a;
int y = isNeg(b) ? negNum(b) : b;
int res = 0;
// x / y
for (int i=30; i>=0; i = minus(i, 1)) {
if ((x >> i) >= y) {
res |= (1 << i);
x = minus(x, y << i);
}
}
//如果a和b符号不一样,取个负号返回;如果a和b负号一样,直接返回答案
return isNeg(a) ^ isNeg(b) ? negNum(res) : res;
}
/**
* 如果a和b都为系统最小,a = b,返回1
* 如果b是系统最小,a不是,a / b,因为a的绝对值比b小,一除,向下取整,为0
* 如果a是系统最小,b不是,将ans = (a + 1) / b,再(a - ans * b) / b 得到结果,再加ans。详细推演过程看草图。
* 如果a和b都不是系统最小,直接采用上面写好的div
*
* 系统最小 ÷ -1,按道理应该是系统最大值+1的,但是这个值没办法表示,越界了。
* leetcode约定,这时返回最大值就行了。
*
* @param a
* @param b
* @return
*/
public static int divide(int a, int b) {
if (a == Integer.MIN_VALUE && b == Integer.MIN_VALUE) {
return 1;
} else if (b == Integer.MIN_VALUE) {
return 0;
} else if (a == Integer.MIN_VALUE) {
if (b == negNum(1)) {
return Integer.MAX_VALUE;
} else {
int ans = div(add(a, 1), b);
return add(ans, div(minus(a, multi(ans, b)), b));
}
} else {
return div(a, b);
}
}
public static void main(String[] args) {
int a = 7;
int b = -3;
System.out.println(multi(a, b));
}
}
--
浙公网安备 33010602011771号