R语言APRIORI模型关联规则挖掘分析脑出血急性期用药规律最常配伍可视化|附代码数据

全文链接:http://tecdat.cn/?p=31846

最近我们被客户要求撰写关于关联规则的研究报告,包括一些图形和统计输出。

本文帮助客户运用关联规则方法分析中医治疗脑出血方剂,用Apriori模型挖掘所选用的主要药物及其用药规律,为临床治疗脑出血提供参考

脑出血急性期用药数据

图片

读取数据

a_df3=read.xlsx("脑出血急性期用药最常配伍关联分析2.xlsx")

图片

将数据转化成关联数据

a_df3=a_df3[,-1]  
  
   
   
## set dim names  
#
a_df3=t(a_d3)  
dimnams(a_df3) <- list(row.ames(a_d  
                        paste("Tr",c(1:ncol(adf3)), sep

图片

查看每个药品的出现频率

uencPlot(dat1, support = 0.3, cex.names=0.8)

图片

可以看到每个药品出现的频率,从而判断哪些药品的支持度较高

图片

得到频繁规则挖掘

图片

查看求得的频繁项集

图片

根据支持度对求得的频繁项集排序并查看

关联规则挖掘

apriori(dat

图片

设置支持度为0.01,置信度为0.3

summary(rules)#查看规则

图片

查看部分规则

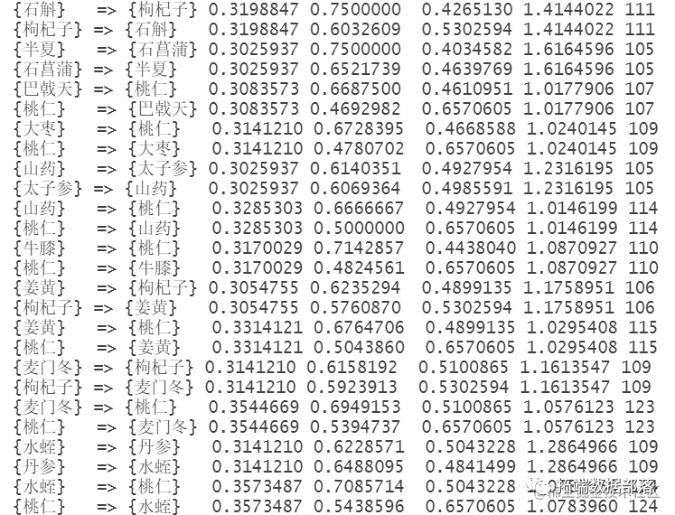
inspect(rules)

图片

查看置信度、支持度和提升度

quality(head(rules))

图片

绘制不同规则图形来表示支持度,置信度和提升度

图片

通过该图 可以看到 规则前项和规则后项分别有哪些药品 以及每个药品的支持度大小,支持度越大则圆圈越大。

图片


点击标题查阅往期内容

图片

R语言用关联规则和聚类模型挖掘处方数据探索药物配伍中的规律

图片

左右滑动查看更多

图片

01

图片

02

图片

03

图片

04

图片

图片

从该图可以看到支持度和置信度的关系,置信度越高提升度也越高

图片

图片

从该图可以看到支持度和置信度的关系,提升度越高置信度也越高

图片

图片

从上图可以看到 不同药品之间的关联关系 图中的点越大说明该药品的支持度越高,颜色越深说明该药品的提升度越高。

查看最高置信度样本规则

rules <- sort(rules, by="confidence")

图片

查看最高提升度样本规则

图片

得到有价值规则子集

x=suet(rules,sbst=confidence>0.3 & support>0.2 & lift>=1)    #得到有价值规则子集

图片

对有价值的x集合进行数据可视化

图片

图片

图片


图片

点击文末 “阅读原文”

获取全文完整代码数据资料。

本文选自《R语言APRIORI模型关联规则挖掘分析脑出血急性期用药规律最常配伍可视化》。

点击标题查阅往期内容

用SPSS Modeler的Web复杂网络对所有腧穴进行关联规则分析
PYTHON在线零售数据关联规则挖掘APRIORI算法数据可视化
R语言关联规则模型(Apriori算法)挖掘杂货店的交易数据与交互可视化
R语言关联挖掘实例(购物篮分析)
python关联规则学习:FP-Growth算法对药品进行“菜篮子”分析
基于R的FP树fp growth 关联数据挖掘技术在煤矿隐患管理
python关联规则学习:FP-Growth算法对药品进行“菜篮子”分析
通过Python中的Apriori算法进行关联规则挖掘
Python中的Apriori关联算法-市场购物篮分析
R语言用关联规则和聚类模型挖掘处方数据探索药物配伍中的规律
在R语言中轻松创建关联网络
python主题建模可视化LDA和T-SNE交互式可视化
R语言时间序列数据指数平滑法分析交互式动态可视化
用R语言制作交互式图表和地图
如何用r语言制作交互可视化报告图表K-means和层次聚类分析癌细胞系微阵列数据和树状图可视化比较
KMEANS均值聚类和层次聚类:亚洲国家地区生活幸福质量异同可视化分析和选择最佳聚类数
PYTHON实现谱聚类算法和改变聚类簇数结果可视化比较
有限混合模型聚类FMM、广义线性回归模型GLM混合应用分析威士忌市场和研究专利申请数据
R语言多维数据层次聚类散点图矩阵、配对图、平行坐标图、树状图可视化城市宏观经济指标数据
r语言有限正态混合模型EM算法的分层聚类、分类和密度估计及可视化
Python Monte Carlo K-Means聚类实战研究
R语言k-Shape时间序列聚类方法对股票价格时间序列聚类
R语言对用电负荷时间序列数据进行K-medoids聚类建模和GAM回归
R语言谱聚类、K-MEANS聚类分析非线性环状数据比较
R语言实现k-means聚类优化的分层抽样(Stratified Sampling)分析各市镇的人口
R语言聚类有效性:确定最优聚类数分析IRIS鸢尾花数据和可视化Python、R对小说进行文本挖掘和层次聚类可视化分析案例
R语言k-means聚类、层次聚类、主成分(PCA)降维及可视化分析鸢尾花iris数据集
R语言有限混合模型(FMM,finite mixture model)EM算法聚类分析间歇泉喷发时间
R语言用温度对城市层次聚类、kmean聚类、主成分分析和Voronoi图可视化
R语言k-Shape时间序列聚类方法对股票价格时间序列聚类
R语言中的SOM(自组织映射神经网络)对NBA球员聚类分析
R语言复杂网络分析:聚类(社区检测)和可视化
R语言中的划分聚类模型
基于模型的聚类和R语言中的高斯混合模型
r语言聚类分析:k-means和层次聚类
SAS用K-Means 聚类最优k值的选取和分析
用R语言进行网站评论文本挖掘聚类
基于LDA主题模型聚类的商品评论文本挖掘
R语言鸢尾花iris数据集的层次聚类分析
R语言对用电负荷时间序列数据进行K-medoids聚类建模和GAM回归
R语言聚类算法的应用实例

posted @ 2023-05-27 21:17  拓端tecdat  阅读(44)  评论(0)    收藏  举报