MATLAB用GARCH-EVT-Copula极值理论模型VaR预测分析股票投资组合|附代码数据

全文链接:http://tecdat.cn/?p=30426

最近我们被客户要求撰写关于GARCH-EVT-Copula的研究报告,包括一些图形和统计输出。

对VaR计算方法的改进,以更好的度量开放式基金的风险。本项目把基金所持股票看成是一个投资组合,引入Copula来描述多只股票间的非线性相关性,构建多元GARCH-EVT-Copula模型来度量开放式基金的风险,并与其他VaR估计方法的预测结果进行比较

其次是将VaR引入到基金业绩评价中,构造RAROC指标来评价基金业绩,检验该评价指标的可行性。

GARCH-EVT-Copula 模型

首先用GARCH族模型拟合单项资产收益率,并提取标准化残差以满足极值理论的假设前提,接着对标准化残差的上下尾部分采用EVT理论中的广义帕累托分布GPD拟合,中间部分采用高斯核函数来估计其经验累积分布函数,从而得到标准化残差的边缘分布函数 。然后选取适当的Copula 函数,构造多元标准化残差间的相关结构和联合分布函数。

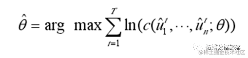
Copula 函数参数估计

本项目中,采用 伪极大似然估计(CML) 方法来估计 Copula 函数的参数 第一步,将金融资产对数收益率数据x通过经验分布函数转化为均匀变量(uniform variates) 第二步,利用密度似然函数估计Copula函数的参数:

图片

GARCH-EVT-Copula 模型计算 VaR

本项目将开放式基金看做是一个资产组合,以每只基金所持有的股票收益率为研究对象,从投资组合的角度利用多元GARCH-EVT-Copula模型来计算基金的VaR值。

 图片

读取数据

图片

[NUM,TXT,RAW]=xlsread('data')

Data=NUM

function [ output_args ] = GEC( input_args )

建立 GARCH 模型

nIndices = size(Data,2); % # 基金数量

spec(1:nIndices) = garchset('Distribution' , 'T' , 'Display', 'off', ...

'VarianceModel', 'GJR', 'P', 1, 'Q', 1, 'R', 1);%对每只基金设置garch模型的

残差自相关性检验

%残差自相关性检验

figure, subplot(2,1,1)

plot(residuals(:,1))

xlabel('时间'), ylabel('残差'), title ('N225收益率残差')

图片

根据 FHS 提取标准化残差

title('N225标准化残差自相关图')

subplot(2,1,2)

autocorr(residuals(:,1).^2)

图片


点击标题查阅往期内容

图片

R语言用GARCH模型波动率建模和预测、回测风险价值 (VaR)分析股市收益率时间序列

图片

左右滑动查看更多

图片

01

图片

02

图片

03

图片

04

图片

GDAXI

%残差自相关性检验

figure, subplot(2,1,1)

plot(residuals(:,2))

图片

图片

GSPC

图片

FCHI

%残差自相关性检验

figure, subplot(2,1,1)

plot(residuals(:,4))

图片

根据 FHS 提取标准化残差

图片

采用 EVT 理论对标准残差估计累计分布函数


% Estimate the Semi-Parametric CDFs

nPoints= 200; % # of sampled points of kernel-smoothed CDF需要拟合的样本点

tailFraction = 0.1; % Decimal fraction of residuals allocated to each tail 小数保存位数

plot(y, (OBJ{index}.cdf(y + Q(2)) - P(2))/P(1))

[F,x] = ecdf(y); % empirical CDF

hold('on'); stairs(x, F, 'r'); grid('on')

legend('拟合的广义 Pareto 累计分布函数','经验累积分布函数','Location','SouthEast');

xlabel('Exceedance'); ylabel('Probability');

title(['标准化残差序列',num2str(index),'的上尾']);

图片


for i=1:242

VaRp(i,:)=pPrice(i+T-242)*exp(VaR(i,:));

end

%%

figure

plot(1:242,pPrice(T-242+2:end),'r-',1:242,VaRp(1:242,1),'g-',1:242,VaRp(1:242,2),'b-',1:242,VaRp(1:242,3),'y-');

title('基金持股收盘价实际与 VaR 预测下限走势图')

图片


plot(1:242, b(:,s),'go-',x,d,'ro',1:0.25:250,0,'b');

legend('未突破 VaR 预测下限','突破 VaR 预测下限','Location','Best' )

title('基金实际持股收盘价与 VaR 预测下限差额')

xlabel('时间日期')

ylabel('差额');

图片

图片

图片

图片

图片

图片

图片

图片

收益率t分布%QQ图

图片

图片

图片

图片

图片

图片

N225收益率平方自相关图和偏相关图

图片


图片

点击文末 “阅读原文”

获取全文完整代码数据资料。

本文选自《MATLAB用GARCH-EVT-Copula模型VaR预测分析股票投资组合》。

点击标题查阅往期内容

R语言使用多元AR-GARCH模型衡量市场风险
R语言GARCH模型对股市sp500收益率bootstrap、滚动估计预测VaR、拟合诊断和蒙特卡罗模拟可视化R语言单变量和多变量(多元)动态条件相关系数DCC-GARCH模型分析股票收益率金融时间序列数据波动率
R语言中的时间序列分析模型:ARIMA-ARCH / GARCH模型分析股票价格
GARCH-DCC模型和DCC(MVT)建模估计
R语言预测期货波动率的实现:ARCH与HAR-RV与GARCH,ARFIMA模型比较
ARIMA、GARCH 和 VAR模型估计、预测ts 和 xts格式时间序列
PYTHON用GARCH、离散随机波动率模型DSV模拟估计股票收益时间序列与蒙特卡洛可视化
极值理论 EVT、POT超阈值、GARCH 模型分析股票指数VaR、条件CVaR:多元化投资组合预测风险测度分析
Garch波动率预测的区制转移交易策略
金融时间序列模型ARIMA 和GARCH 在股票市场预测应用
时间序列分析模型:ARIMA-ARCH / GARCH模型分析股票价格
R语言风险价值:ARIMA,GARCH,Delta-normal法滚动估计VaR(Value at Risk)和回测分析股票数据
R语言GARCH建模常用软件包比较、拟合标准普尔SP 500指数波动率时间序列和预测可视化
Python金融时间序列模型ARIMA 和GARCH 在股票市场预测应用
MATLAB用GARCH模型对股票市场收益率时间序列波动的拟合与预测
R语言极值理论 EVT、POT超阈值、GARCH 模型分析股票指数VaR、条件CVaR:多元化投资组合预测风险测度分析
Python 用ARIMA、GARCH模型预测分析股票市场收益率时间序列
R语言中的时间序列分析模型:ARIMA-ARCH / GARCH模型分析股票价格
R语言ARIMA-GARCH波动率模型预测股票市场苹果公司日收益率时间序列
Python使用GARCH,EGARCH,GJR-GARCH模型和蒙特卡洛模拟进行股价预测
R语言时间序列GARCH模型分析股市波动率
R语言ARMA-EGARCH模型、集成预测算法对SPX实际波动率进行预测
matlab实现MCMC的马尔可夫转换ARMA - GARCH模型估计
Python使用GARCH,EGARCH,GJR-GARCH模型和蒙特卡洛模拟进行股价预测
使用R语言对S&P500股票指数进行ARIMA + GARCH交易策略
R语言用多元ARMA,GARCH ,EWMA, ETS,随机波动率SV模型对金融时间序列数据建模
R语言股票市场指数:ARMA-GARCH模型和对数收益率数据探索性分析
R语言多元Copula GARCH 模型时间序列预测
R语言使用多元AR-GARCH模型衡量市场风险
R语言中的时间序列分析模型:ARIMA-ARCH / GARCH模型分析股票价格
R语言用Garch模型和回归模型对股票价格分析
GARCH(1,1),MA以及历史模拟法的VaR比较
matlab估计arma garch 条件均值和方差模型

posted @ 2023-04-19 00:30  拓端tecdat  阅读(77)  评论(0)    收藏  举报