1、优先队列模型
以最小元素优先级最高为例,优先队列是允许至少下列两种操作的模型:
- 插入元素:将新来的元素插入到优先队列的容器中
- 删除最小元素:找出、返回、并删除优先队列中的最小元素

怎么去实现这样一个模型呢?
2、二叉堆
二叉堆是实现优先队列非常普遍的一种工具,以至于堆这个词不加修饰地使用在优先队列的上下文时,一般都是指优先队列的实现。

2.1、二叉堆的结构性质
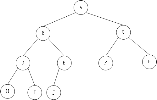
堆是一棵被完全填满的二叉树,有可能的例外是在底层,底层的元素从左到右填入,即是一棵完全二叉树。一颗高度为h的完全二叉树有 2h 到 2h+1-1 个节点,这也意味着完全二叉树的高度为⌊log N⌋。
由于完全二叉树的存储非常有规律,因此可以用数组而非链结构来表示它。对于数组中任意一个位置i上的元素,它的左儿子总是在位置2i上,右儿子总是在位置2i+1上,它的父亲节点总是在位置⌊i/2⌋上。例如上图中的完全二叉树可以表示为:

2.2、二叉堆的堆序性质
让操作快速执行的性质是堆序性质。由于想要找到最小元,因此最小元应该在根节点上。如果考虑任何一棵子树也应该是一个堆,那么任意节点就应该小于它的所有后裔。
2.3、基本的堆操作
2.3.1、insert(插入)
为了将一个元素x插入到堆中,可在下一个可用位置创建一个空穴。如下:

以插入x=14为例,由于将14插入空穴破坏了堆序性质(31>14),因此将需将31移入到空穴中:

同样,21>14,所以将21移入到空穴中:

重复这种策略,直到将14插入到正确位置:

这种策略称为上滤。
2.3.2、deleteMin(删除最小元)
找到最小元是非常容易的,因为它就在根节点上,但是删除他之后会在根节点的位置出现一个空穴,由于堆中少了一个元素,因此 堆中最后一个元素x应该移动到它该去的位置,但是x不能直接移动到空穴里面去,因为这无法保证堆的堆序性。可以选择将空穴的两个儿子中较小的一个移动到空穴中,这样就把空穴推向了下一层,重复该步骤,直到x可以放入到空穴中(指空穴的左/右孩子节点的值都大于x或者空穴无左右孩子节点)。这个操作称之为下滤。看如下例子:

2.3.3、buildHeap(构建堆)
将N个对象构造为一个堆,可以对这N个对象依次使用insert操作来完成。由于每个insert操作将花费O(1)平均时间和O(log N)最坏时间,因此算法的中运行时间是O(N)平均时间而不是O(N log N)的最坏时间。
2.4、代码实现
class PriorityQue{
List<Integer> heap = null;
/**
* 构造一个空的优先队列
*/
public PriorityQue(){
heap = new ArrayList<>();
heap.add(0); //头部设置一个哑节点
}
/**
* 向优先队列中添加新的元素
* @param num 待添加的元素
*/
public void insert(int num){
//先在可用位置添加一个空穴,然后进行上滤操作
heap.add(0); //添加空穴
int hole = heap.size()-1; //hole记录空穴位置
while (hole>0){
if(hole/2 < 1 || heap.get(hole/2)<num){ //空穴不存在父节点 或者 父节点的值小于num,直接将num填入空穴中
heap.set(hole, num);
break;
}else { //否则进行上滤操作
heap.set(hole, heap.get(hole/2));
hole = hole/2;
}
}
}
public Integer deleteMin(){
if(heap.size()<=1){ //优先队列为空,返回null
return null;
}
Integer min = heap.get(1); //最小元在根节点,获取最小元
int hole = 1; //根节点记录为空穴
while (hole*2 < heap.size()){ //下滤 操作的必要条件:空穴还有孩子节点
if(heap.get(hole*2)>heap.get(heap.size()-1)
&& (hole*2+1 >= heap.size() || heap.get(hole*2+1)>heap.get(heap.size()-1))){ //如果当前空穴的左右孩子均大于最后一个元素的值,则不再下滤
break;
}
//向左孩子下滤的条件:无右孩子 或者 左孩子的值小于右孩子的值
if(hole*2+1 >= heap.size() || heap.get(hole*2)<heap.get(hole*2+1)){
heap.set(hole, heap.get(hole*2));
hole = hole*2;
}else{ //向右孩子下滤的条件:右孩子的值小于左孩子的值
heap.set(hole, heap.get(hole*2+1));
hole = hole*2+1;
}
}
heap.set(hole, heap.get(heap.size()-1)); //将最后一个元素填入空穴
heap.remove(heap.size()-1); //删除最后位置的空穴
return min;
}
}
参考:《数据结构与算法分析 Java语言描述》第三版
浙公网安备 33010602011771号