230. Kth Smallest Element in a BST[Medium]
230. Kth Smallest Element in a BST
Given the root of a binary search tree, and an integer k, return the kth smallest value (1-indexed) of all the values of the nodes in the tree.
Constraints:
- The number of nodes in the tree is n.
- 1 <= k <= n <= 10^4
- 0 <= Node.val <= 10^4
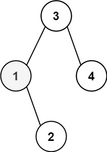
Example

Input: root = [3,1,4,null,2], k = 1
Output: 1
思路
- BST 当前节点大于左子树且小于右子树
- 中序遍历(左中右)
利用中序遍历到最左子节点(小),然后回中(中),再去右(大),弹出第k个值
题解
public int kthSmallest(TreeNode root, int k) {
// 中序遍历
Stack<TreeNode> stack = new Stack<>();
while (!stack.isEmpty() || root != null) {
while (root != null) {
stack.push(root);
root = root.left;
}
TreeNode cur = stack.pop();
if (--k == 0)
return cur.val;
root = cur.right;
}
return -1;
}

浙公网安备 33010602011771号