102. Binary Tree Level Order Traversal[Medium]
102. Binary Tree Level Order Traversal
Given the root of a binary tree, return the level order traversal of its nodes' values. (i.e., from left to right, level by level).
Constraints:
- The number of nodes in the tree is in the range [0, 2000].
 - -1000 <= Node.val <= 1000
 
Example

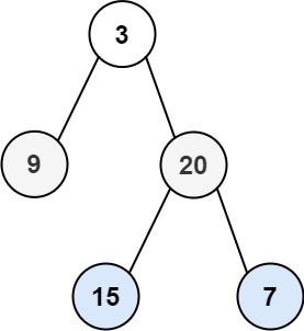
Input: root = [3,9,20,null,null,15,7]
Output: [[3],[9,20],[15,7]]
思路
看到要取每一层,一定是广度遍历
题解
    public List<List<Integer>> levelOrder(TreeNode root) {
        ArrayList<List<Integer>> res = new ArrayList<>();
        Queue<TreeNode> queue = new LinkedList<>();
        queue.add(root);
        while (!queue.isEmpty()) {
            int size = queue.size();
            ArrayList<Integer> temp = new ArrayList<>();
            for (int i = 0; i < size; i++) {
                TreeNode cur = queue.poll();
                temp.add(cur.val);
                if (cur.left != null)
                    queue.add(cur.left);
                if (cur.right != null)
                    queue.add(cur.right);
            }
            res.add(temp);
        }
        return res;
    }

                
            
        
浙公网安备 33010602011771号