104. Maximum Depth of Binary Tree[Easy]
217. Contains Duplicate
Given the root of a binary tree, return its maximum depth.
A binary tree's maximum depth is the number of nodes along the longest path from the root node down to the farthest leaf node.
Constraints:
- The number of nodes in the tree is in the range [0, 10^4].
- -100 <= Node.val <= 100
Example

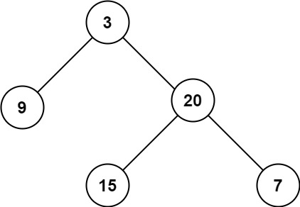
Input: root = [3,9,20,null,null,15,7]
Output: 3
思路
熟练掌握三种树的遍历方式
- 递归遍历
- 深度遍历
- 广度遍历
题解
- 递归遍历
public int maxDepth(TreeNode root) {
if (root == null)
return 0;
return 1 + Math.max(maxDepth(root.left), maxDepth(root.right));
}
- 深度遍历
public int maxDepth(TreeNode root) {
int result = 0;
if (root == null)
return result;
// 利用栈先进后出的特性
Stack<TreeNode> stack = new Stack<>();
// 给第一层赋初值
root.val = 1;
stack.push(root);
while (!stack.isEmpty()) {
TreeNode cur = stack.pop();
// 先将右子树入栈,这样pop时先访问的就是左子树,左中右遍历
if (cur.right != null) {
// 每一层都在上一层的基础上+1
cur.right.val = cur.val + 1;
stack.push(cur.right);
}
if (cur.left != null) {
cur.left.val = cur.val + 1;
stack.push(cur.left);
}
result = Math.max(result, cur.val);
}
return result;
}
- 广度遍历
public int maxDepth(TreeNode root) {
int result = 0;
if (root == null)
return result;
// 利用队列先进先出特性
Queue<TreeNode> queue = new LinkedList<>();
queue.add(root);
while (!queue.isEmpty()) {
// 这边拿到的size其实就是当前层中所有的节点,要把它先存起来,避免下面对队列操作产生影响
int size = queue.size();
// 把当前层的节点依次弹出
for (int i = 0; i < size; i++) {
TreeNode cur = queue.poll();
// 从左往右依次入队列
if (cur.left != null)
queue.add(cur.left);
if (cur.right != null)
queue.add(cur.right);
}
// 每一层结束记录一下
result++;
}
return result;
}

浙公网安备 33010602011771号