226. Invert Binary Tree[Easy]
226. Invert Binary Tree
Given the root of a binary tree, invert the tree, and return its root.
Constraints:
- The number of nodes in the tree is in the range [0, 100].
- -100 <= Node.val <= 100
Example

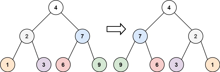
Input: root = [4,2,7,1,3,6,9]
Output: [4,7,2,9,6,3,1]
思路
遍历所有节点,置换左右子树
题解
public TreeNode invertTree(TreeNode root) {
if (root == null)
return null;
invertTree(root.left);
invertTree(root.right);
// 置换左右子树
TreeNode temp = root.left;
root.left = root.right;
root.right = temp;
return root;
}

浙公网安备 33010602011771号