*143. Reorder List[Medium]
143. Reorder List
You are given the head of a singly linked-list. The list can be represented as:
L0 → L1 → … → Ln - 1 → Ln
Reorder the list to be on the following form:
L0 → Ln → L1 → Ln - 1 → L2 → Ln - 2 → …
You may not modify the values in the list's nodes. Only nodes themselves may be changed.
Constraints:
- The number of nodes in the list is in the range [1, 5 * 104].
- 1 <= Node.val <= 1000
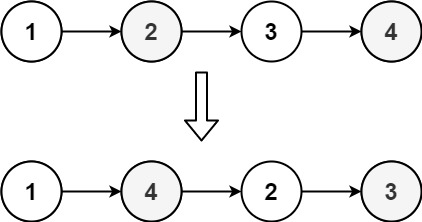
Example

Input: head = [1,2,3,4]
Output: [1,4,2,3]
思路
- 通过快慢指针找中点
- 通过反转链表反转后半段
- 后半段依次插入前半段
题解
public void reorderList(ListNode head) {
ListNode fast, slow;
fast = slow = head;
// 通过快慢指针找到中点
/**
* 1->2->3->4->5
* 1->2->3
* 4->5
*/
while (fast != null && fast.next != null) {
slow = slow.next;
fast = fast.next.next;
}
// first就是前半段链表,second就是后半段链表,做分割
ListNode first, second, pre;
first = head;
// 临时变量
pre = slow.next;
// 初始化second且给前半段链表设终止符
second = slow.next = null;
// 反转链表
/**
* 1->2->3->4->5
* 1->2->3
* 5->4
*/
while (pre != null) {
ListNode temp = pre.next;
pre.next = second;
second = pre;
pre = temp;
}
/**
* 后半段依次插入前半段
*/
ListNode temp1, temp2;
while (second != null) {
temp1 = first.next;
temp2 = second.next;
first.next = second;
second.next = temp1;
first = temp1;
second = temp2;
}
}

浙公网安备 33010602011771号