206. Reverse Linked List[Easy]
206. Reverse Linked List
Given the head of a singly linked list, reverse the list, and return the reversed list.
Constraints:
- The number of nodes in the list is the range [0, 5000].
- -5000 <= Node.val <= 5000
Example

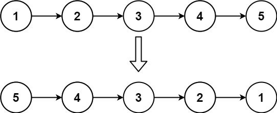
Input: head = [1,2,3,4,5]
Output: [5,4,3,2,1]
思路
利用临时变量,依次逆转每个节点
题解
- 简易
ListNode result = null;
// 存头节点
ListNode temp = head;
// 存临时节点
ListNode cur;
while (temp != null) {
// 取出当前节点,赋给临时节点
cur = new ListNode(temp.val);
// 把上一个节点赋给当前节点的next,首次应该是null
cur.next = result;
// 用当前节点替换上一个节点
result = cur;
// 遍历下一个节点
temp = temp.next;
}
return result;
}
- 精简
public ListNode reverseList(ListNode head) {
ListNode result = null;
while (head != null) {
// 暂存临时变量
ListNode next = head.next;
// 把上一次的结果赋给当前节点的下一位
head.next = result;
// 当前节点为结果
result = head;
// 遍历下一个节点
head = next;
}
return result;
}

浙公网安备 33010602011771号