[论文笔记] The Complexity of Andersen's Analysis in Practice
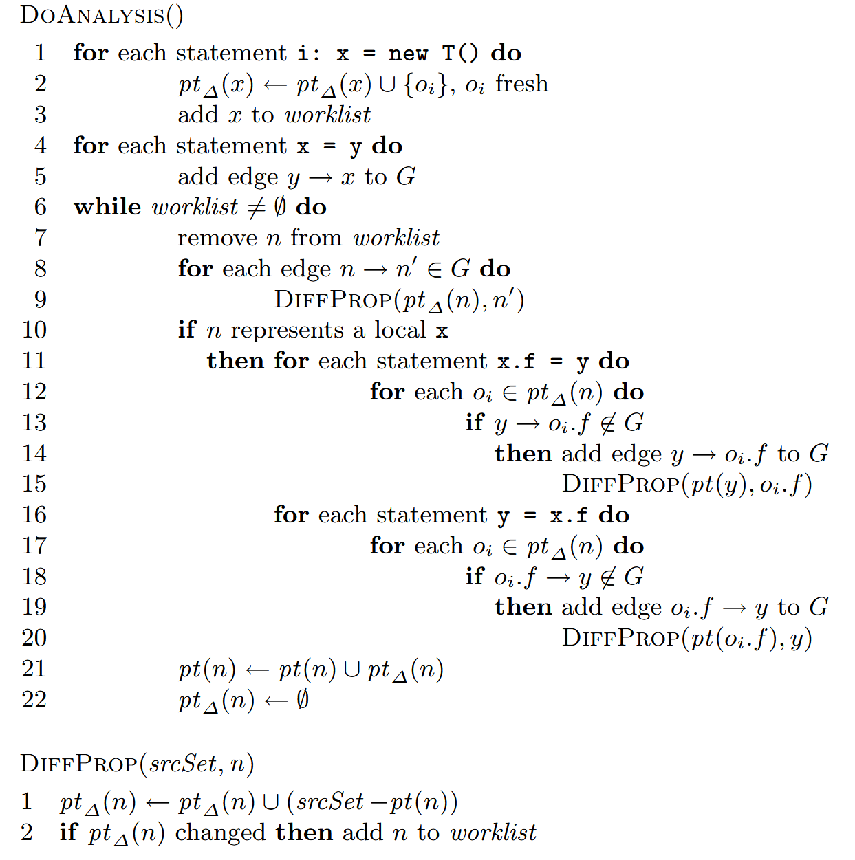
一个 context-insensitive 的 Andersen 风格的分析算法:

定义:
-
\(N\) 是变量和
new的总数量 -
\(D(x)\) 是解引用变量 \(x\) 的 statements 数量
-
\(G\) 是 flow graph
-
\(E\) 是 flow graph 到达不动点时边的数量
定义:一个程序是 \(k-sparse\) 的当 \(max_xD(x) \leq k\) 且 \(E \leq kN\)
引理:对于 flow graph 中的某个 \(o_i\)(使用位置抽象对对象进行建模) 和 \(p\),DoAnalysis 最多有一次满足 \(n = p \land o_i \in pt_{\Delta}(p)\) 的执行
理解:每个 \(o_i\) 只会进入 \(pt_{\Delta}(p)\) 一次,然后被加入 \(pt(p)\) 中
DoAnalysis 会做下面四个动作:
-
初始化:处理代码中所有的
x = new T()和x = y调用,为 \(G\) 添加初始结点和初始边。 -
添加与 \(o_i\) 相关的边:处理字段访问和修改
x.f = yx = y.f。 -
传播:
DiffProp。 -
清空 \(pt_{\Delta}(p)\),把所有的新 \(o_i\) 转移到 \(pt(p)\) 中。
假设集合满足:(1) 常数时间检查元素是否存在 (2) 常数时间添加一个元素 (3) 常数时间的迭代;图类似
那么对于上面的四个动作:
-
初始化:对于
1-3行,时间复杂度显然是 \(O(N)\);对于4-5行,考虑任意两个变量之间都可能存在一个约束关系,所以复杂度是 \(O(N^2)\) -
添加与 \(o_i\) 相关的边:
if n represents x,所以考虑每一个解引用x的位置,之前被定义为 \(D(x)\),\(|pt(x)|\) 是 \(O(N)\) 的,\(x\) 可以是任意一个变量,同样是 \(O(N)\) 的,那么添加边y -> oi.f直到图 \(G\) 的不动点这个动作的复杂度是 \(O(N^2max_xD(x))\)
引理:对于每个 flow graph 上的结点 \(p\),在任意时刻都满足 \(pt(p) \cap pt_{\Delta}(p) = \emptyset\)
引理:对于一条边 \(e = n \rightarrow n'\),对象 \(o_i\) 只会传播一次
-
传播:根据上面的引理,传播的时间复杂度显然是 \(O(NE)\)
-
清空 \(pt_{\Delta}(p)\):每个对象在每个变量的 \(\Delta\) 集合中最多只能被清空一次,因此时间复杂度为 \(O(N^2)\)
综上所述,算法的时间复杂度上界为 \(O(N^2max_xD(x) + NE)\),如果程序是 \(k-sparse\) 的,时间复杂度会退化成 \(O(kN^2)\)。之所以引入 \(k-sparse\) 的概念,是因为真实的 Java 程序很可能是 \(k-sparse\) 的。
Java 中类和方法的普遍结构决定 \(max_xD(x)\) 往往不会随着程序规模的增长而增长。\(G\) 的边 \(E\) 由赋值语句和对象上的字段访问语句引入。赋值语句显然是线性 \(O(N)\) 的。对象上的字段访问如果只使用 getter 和 setter 方法,那么每个对象仅有两个字段访问语句,Java 程序中对象上的字段数量是常数级别的,对象上的字段访问语句那么也是 \(O(N)\) 的。
当然,当字段是数组时数量就不再是线性的。在通过字段进行方法调用时,动态分派也可能导致流图边呈二次增长。
并行化和拓扑顺序可以加快传播速度,减少 worklist 的迭代次数。
实时构建调用图利用 receiver 的 points-to 集合推断可能的虚拟调用目标;把新发现的调用目标加入求解过程中。如果不考虑约束生成的成本,实时调用图推理会使分析变慢,因为达到不动点需要更多迭代。然而,如果将约束生成成本计入,实时调用图构建实际上提升了性能,因为不需要为不可达的库代码生成约束。

\(E = 3.46N\)

\(T = 2.10N\)

浙公网安备 33010602011771号