冒泡算法

冒泡算法的原理是首先每轮比较然后把相邻两个中较大的数向后面传,直到找出最大的那个数送到数组最后面(当然你也可以去找一个最小的数然后传到数组的最后面),注意每次比较完一轮要减小数组的长度,因为你已经把最大的(最小的)数传到数组后面。

 

 

 

 可以对冒泡算法进行效率的提升,比如如果比较完一轮都没有进行过项的交换,说明现在数组已经是从小到大(从大到小)的顺序了,就不用再继续下去,直接退出。

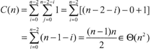
但是这样处理,最坏条件下冒泡算法的复杂度还是n^2。

posted @ 2020-03-16 21:35  Swithun  阅读(533)  评论(0)    收藏  举报