微波2传输线理论
传输线的基本概念
- 传输线是对传输电磁波信息和能量的各种形式的传输系统的总称, 引导电磁波沿一定方向传输, 因此又称为导行波系统。其所导引的电磁波被称为导行波 。
- 导行波传播的方向称为纵向, 垂直于导波传播的方向称为横向。
- 无纵向电磁场分量的电磁波称为横电磁波,即TEM波;纵向有电场分量无磁场分量的电磁波叫TM波;纵向有磁场分量无电场分量的电磁波叫TE波;
- 传输线本身的不连续性可以构成各种形式的微波无源元器件, 与均匀传输线、 有源元器件及天线构成微波系统。
传输线大致可以分为三种类型
- 第一类是双导体传输线, 它由两根或两根以上平行导体构成, 因其传输的电磁波是横电磁波(TEM波)或准TEM波, 故又称为TEM波传输线, 主要包括平行双线、同轴线、带状线和微带线等, 如图所示。
- 第二类是均匀填充介质的金属波导管, 因电磁波在管内传播, 故称为波导, 主要包括矩形波导、圆波导、脊形波导和椭圆波导等
- 第三类是介质传输线, 因电磁波沿传输线表面传播, 故称为表面波波导, 主要包括介质波导、 镜像线和单根表面波传输线等
对均匀传输线的分析方法通常有两种
- 一种是场分析法, 即从麦克斯韦方程出发, 求出满足边界条件的波动解, 得出传输线上电场和磁场的表达式, 进而分析传输特性;
- 第二种是等效电路法, 即从传输线方程出发, 求出满足边界条件的电压、电流波动方程的解, 得出沿线等效电压、电流的表达式, 进而分析传输特性。
------------------------------------------------------------------------------------------------------------------------------------------------------------------------------------------------------------------------------------------
关于微波传输线的几个概念
- 低频电路传输线(导线)
传输线几何长度远小于传输信号波长——短线;
只需考虑传输信号幅度,而无须考虑相位——忽略分布参数效应——集总参数电路 - 集总参数:低频时,RLC以器件的形式出现,连接这些器件的导线被认为是理想导线,可以无限延伸,并且不计损耗。
- 分布参数:高频时,导线本身的损耗、电容、电感特性表现出来,导致导线上沿线的电压、电流随时间和位置不断变化。这些参数对传输的电磁波的影响分布在传输线上的每一点,称为分布参数。对应的RLC分别称为分布电阻、分布电感、分布电容。
- 微波传输线
传输线几何长度大于或略等于传输信号波长——长线;
不仅要考虑传输信号幅度,还需要考虑相位——考虑分布参数效应——分布参数电路 - 低频传输线
在低频电路中,电流几乎均匀地分布在导线内,能流集中在导体内部和表面附近。 - 微波传输线
- 高频电路中,导体的电流、电荷和场都集中在导体表面——导体的集肤效应(Skin Effect)。
- 导体的集肤效应影响:
- 使得传输面积减小,传输线损耗急剧增加
- 导体内部无信号,绝大部分功率在导线外传输
-------------------------------------------------------------------------------------------------------------------------------------------------------------------------------------------------------------------------------
传输线方程及其解
- 均匀传输线方程
- 由均匀传输线组成的导波系统都可等效为如图所示的均匀平行双导线系统。 其中传输线的始端接微波信号源(简称信源), 终端接负载, 选取传输线的纵向坐标为z, 坐标原点选在终端处, 波沿负z方向传播。
![]()
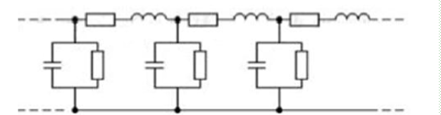
- 在均匀传输线上任意一点z处, 取一微分线元Δz(Δz<<λ), 该线元可视为集总参数电路, 其上有电阻RΔz、电感LΔz 、电容CΔz和漏电导GΔz(其中R, L, C, G分别为单位长电阻、单位长电感、单位长电容和单位长漏电导),得到的等效电路如图所示,
![]()
- 则整个传输线可看作由无限多个上述等效电路的级联而成。有耗和无耗传输线的等效电路分别如图所示


----------------------------------------------------------------------------------------
∂u(z,t)/∂(z)=R*i(z,t)+L∂i(z,t)/∂t
∂i(z,t)/∂z=G*u(z,t)+C∂u(z,t)/∂t
这就是均匀传输线方程, 也称电报方程
---------------------------------------------------------------------------------------------------
dU(z)/dz=ZI(z)
dI(z)/dz=YU(z)
复数形式的电报方程 Z=R+jωL, Y=G+jωC, 分别称为传输线单位长串联阻抗和单位长并联导纳。
------------------------------------------------------------------------------------------------------------------------------------------------------------------------------------------------------------------------
电压的通解 U(z)=A1erz+A2e-rz
电流的通解 I(z)=(1/Z0)*(A1erz-A2e-rz)
r2=ZY Z02=Z/Y
------------------------------------------------------------------------------------------------------------------------------------------
令r=α+jβ 电压和电流的瞬时值表达式为
u(z,t)=A1eαzcos(ωt+βz)+A2e-αzcos(ωt-βz)
i(z,t)=1/Z0[A1eαzcos(ωt+βz)-A2e-αzcos(ωt-βz)]
---------------------------------------------------------------------------------------------------------
传输线的边界条件通常有以下三种:
- 已知终端电压Ul和终端电流Il;
- 边界条件 z=0 处U(0)=Ul、I(0)=Il 写成矩阵形式为
![]()
- 边界条件 z=0 处U(0)=Ul、I(0)=Il 写成矩阵形式为
- 已知始端电压Ui和始端电流Ii;
- 已知信源电动势Eg和内阻Zg以及负载阻抗Zl。
--------------------------------------------------------------------------------------------------------------
传输线的工作特性参数
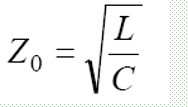
- 特性阻抗 Z0
- 将传输线上导行波的电压与电流之比定义为传输线的特性阻抗, 用Z0来表示, 其倒数称为特性导纳, 用Y0来表示。
- 特性阻抗的一般表达式为
![]()
- 可见特性阻抗Z0通常是个复数, 且与工作频率有关。它由传输线自身分布参数决定而与负载及信源无关, 故称为特性阻抗。
- 对于均匀无耗传输线, R=G=0, 传输线的特性阻抗为
![]()
- 此时, 特性阻抗Z0为实数, 且与频率无关
- 当损耗很小, 即满足R<<ωL、 G<<ωC时,有
![]()
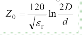
- 可见, 损耗很小时的特性阻抗近似为实数。对于直径为d、间距为D的平行双导线传输线, 其特性阻抗为
![]()
- 式中, εr为导线周围填充介质的相对介电常数。 常用的平行双导线传输线的特性阻抗有250Ω, 400Ω和600Ω三种。
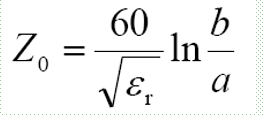
- 对于内、外导体半径分别为a、b的无耗同轴线, 其特性阻抗为
![]()
- 式中,εr为同轴线内、外导体间填充介质的相对介电常数。 常用的同轴线的特性阻抗有50 Ω 和75Ω两种
- ---------------------------------------------------
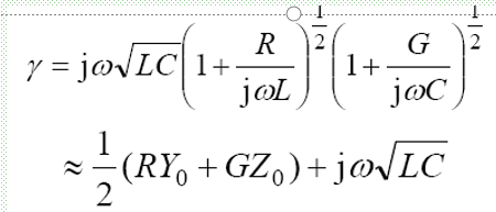
- 传播常数γ
- 传播常数γ是描述导行波沿传输线系统传播过程中衰减和相移的参数, 通常为复数, 由前面分析可知
![]()
- 式中, α为衰减常数, 单位为dB/m(有时也用Np/m, 1Np/m=8.86 dB/m); β为相移常数, 单位为rad/m。
- 对于无耗传输线,R=G=0, 则α=0, 此时γ =jβ,
![]()
- 对于损耗很小的传输线, 即满足R<<ωL、G<<ωC时, 有
![]()
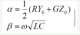
- 于是小损耗传输线的衰减常数α和相移常数β分别为
![]()
- --------------------------------------------------------------
- 传播常数γ是描述导行波沿传输线系统传播过程中衰减和相移的参数, 通常为复数, 由前面分析可知
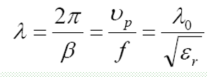
- 相速υp与波长λ
- 传输线上的波长 λ与自由空间的波长 λ0有以下关系
![]()
- 对于均匀无耗传输线来说, 由于β与ω成线性关系, 故导行波的相速与频率无关, 也称为无色散波。当传输线有损耗时, β不再与ω成线性关系, 使相速υp与频率ω有关,这就称为色散特性。在微波技术中, 常可把传输线看作是无损耗的, 因此, 着重介绍均匀无耗传输线
- 传输线上的波长 λ与自由空间的波长 λ0有以下关系










浙公网安备 33010602011771号