红黑树(未完待续)
前言:
从一开始的二叉树:最多有两个子节点
二叉树有五种形态:
+排序-----二叉(排序、查找)树(BST)
采用中序方式排序,通过类似于二分查找的方式,减少时间复杂度
缺点:出现斜树时,无用
++平衡-----平衡二叉(排序)树(AVL)
平衡:指插入、删除元素后可以自平衡的二叉查找树。我们平衡的手段-----旋转。
AVL树:任意节点的两个子树的高度差不超过1的平衡树
缺点:
1.当数据量大时,不够直观,比如:
2.插入删除的时候自平衡 太复杂
于是延伸出很多其他的树,比如2-3树,2-3-4树(磁盘读取的便利,减少时间复杂度),B树(2-3-4-...树),红黑树
红黑树
1.定义/性质

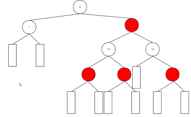
这是一颗红黑树,
结点是红或黑色
根节点是黑色
叶子结点是黑色,NULL
根节点到叶子结点的路径中无连续的红色结点
从任何结点到叶子结点的所有路径,包含相同数目的黑色结点

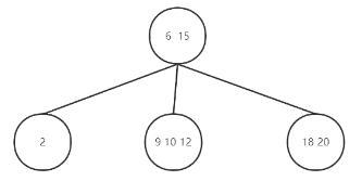
红黑树是一种特殊的平衡树,如上图可以转变成2-3-4树,高度降低,大大降低了查找删除等的时间复杂度.
相较于AVL树,在大量的增删操作下,红黑树有明显的优势
符合局部不平衡。why??
概念
- 黑高
任意结点上的黑高,该节点到叶子(黑)结点路径上的黑色结点数量,不包括该节点本身。
这个不包括:只是一种统一规定而已,类似于平衡树的高度从0开始
特点
分类
二. 插入
- 旋转
- 着色
着色不成功再旋转,要关注父亲结点的亲戚们
x是新插入的结点
- 先标准BST(二叉排序树)插入
- 若x是根节点,转换为黑色(默认是红色)
那根节点不是黑色NULL吗
- 当x的父亲结点p为红色
(x不是根节点)
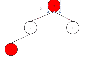
x:插入结点
p:父亲结点
u:父亲结点的兄弟结点---叔叔结点
- 叔叔结点u为红色:
把p和u结点全变黑色,爷爷节点变红。
接着把爷爷节点(红)看做x结点,向上接着检查,直至根节点。(根节点一直为黑)
![]()
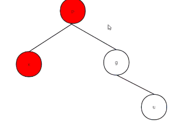
转变后:
![]()
类型2:

左旋

再交换颜色

- 叔叔结点u是黑色结点
![]()
右旋:
![]()
交换颜色:
![]()
下面演示 当局部不平衡时,立马能平衡回来:

先给12(u结点),20(p结点),15(g结点)着色,



删除有空再写...








浙公网安备 33010602011771号