卡尔曼滤波 学习记录
1. 卡尔曼滤波的5个公式

F: 状态转移矩阵
P: 状态协方差矩阵
Q: 状态转移协方差矩阵
H: 观测矩阵
R: 观测噪声方差
K: 卡尔曼系数 滤波增益阵,它首先权衡预测状态协方差矩阵 P 与 观测值矩阵 R的大小,以此来觉得更倾向于相信预测模型还是详细观测模型。
如果相信预测模型多一点,那么这个残差的权重就会小一点。反之亦然,如果相信观察模型多一点,这个残差的权重就会大一点。不仅如此,
滤波增益阵还负责把残差的表现形式从观测域转换到状态域。
Xt :初值设置;
观测值已知的前两个点来确定。
H: 设置; 根据实际情况的状态量个数确定 H的维数 如选择两个还是三个状态量表示

F: 状态转移矩阵
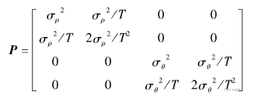
P的定义:状态协方差矩阵,P矩阵初值的设定公式如下:

是径向距离的观测噪声方差,
是方位角的观测噪声方差,这是P矩阵在极坐标系下的表示;
R的定义:观测噪声方差 ;在匀速直线运动中,如果是极坐标系下的话,R矩阵的形式是:

matlab 算法测试代码:

Z =(1:100); % 观测值 noise = randn(1,100); % 方差为1的高斯噪声 Z = Z + noise ; X =[0;1]; % 状态 (观测值已知的前两个点来确定) P =[1 0;0 1]; % 状态协方差矩阵 (正对角线的是两个维度的方差,反对角线两个值是相等的,是他们的协方差) F =[1 1;0 1]; % 状态转移矩阵 (描述了给定初始状态的状态如何随时间传播,对于线性时不变(LTI)系统,这是一个常数矩阵) Q =[0.00001 0;0 0.0001]; %状态转移协方差矩阵 (认为很小) H =[1 0]; % 观测矩阵 R = 1; % 观测噪声方差 figure ; hold on ; for i =1:100 % 预测值 X_= F * X ; P_= F * P * F'+ Q; % 噪声协方差矩阵传递 + Q 协方差本身带来的噪声 K = P_* H'/(H* P_* H'+ R); % 卡尔曼系数 滤波增益阵,它首先权衡预测状态协方差矩阵 P 与 观测值矩阵 R的大小,以此来觉得更倾向于相信预测模型还是详细观测模型。 % 如果相信预测模型多一点,那么这个残差的权重就会小一点。反之亦然,如果相信观察模型多一点,这个残差的权重就会大一点。不仅如此,滤 % 波增益阵还负责把残差的表现形式从观测域转换到状态域。 X = X_+ K *(Z(i)-H * X_); P =( eye(2)- K * H)* P_; plot(X(1),X(2),'r*'); % 画点,横轴表示位置,纵轴表示速度 end

浙公网安备 33010602011771号