监督学习&回归问题(Regression)

Posted on 2015-06-18 22:04  半离  阅读(318)  评论(0)    收藏  举报

分类

模型如下:
模型如下:

  1. 回归问题:学习的结果是连续的,比如房价等等
  2. 分类问题:学习的结果是非连续的,分成某几个类

梯度下降

例子:
这里写图片描述

条件:

  • 对于输入X有n个特征值。X = {x1,x2,x3,x4,.......,xn}
  • 一共有m组输入。X1,X2,......,Xm

结果:

  • 根据给出的数据得到函数hθ(x),关于θ的一个函数
  • 这里写图片描述
    这里写图片描述

假设:

  • 这里写图片描述
  • J(θ)主要用来描述该方程在样本点的逼近程度

特点:

  • 都具有局部最小值
  • 最后的结果并不一定是总体的最小值

1.批梯度下降:

  • 思路:
    先初始化θ = 0向量,然后通过学习,不断改变θ使Jθ不断减小,致使方程不断在学习点逼近真值。(至于为什么要选择最小二乘法和为什么这个值有极限,稍后给出证明)

  • 迭代方程:
    这里写图片描述
    其中:

    • α决定下降速度
  • 推导方程:
    这里写图片描述

    迭代算法:
    这里写图片描述

  • 注意:

    • 该算法每次迭代查看了所有样本,知道θ收敛
    • 收敛的意思是:误差在允许的范围内就没有继续发生变化了

2.增量梯度下降:

  • 迭代算法:
    这里写图片描述

  • 注意:

    • 每次迭代只用到了第 i 个样本

正规方程组

1.矩阵导数

  • 表示:
    对矩阵A的导数,函数f是一个由矩阵到实数的映射
    这里写图片描述

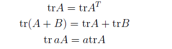
  • 矩阵的迹:
    这里写图片描述

  • 相关的性质:

    • 交换性,要就矩阵的乘法有意义:
      这里写图片描述

    • 这里写图片描述

    • 这里写图片描述

2.最小二乘法

J(θ) = 0 我们可以直接求出θ, 推导过程:
这里写图片描述
这里写图片描述
这里写图片描述
这里写图片描述

概率论解释

1.问题:

为什么在线性回归中我们要用最小二乘作为误差项,而不用三次方,四次方之类的。

2.解答:

  • 设:
    这里写图片描述
    ϵ(i)是误差项, ϵ(i) ~ N(0,σ2)

  • 所以:
    这里写图片描述
    即: y(i)|x(i)θ ~ N(θTx(i),σ2)

  • 用最大概然法:
    这里写图片描述
    这里写图片描述