• 博客园logo
  • 会员
  • 众包
  • 新闻
  • 博问
  • 闪存
  • 赞助商
  • HarmonyOS
  • Chat2DB
    • 搜索
      所有博客
    • 搜索
      当前博客
  • 写随笔 我的博客 短消息 简洁模式
    用户头像
    我的博客 我的园子 账号设置 会员中心 简洁模式 ... 退出登录
    注册 登录
sunyj-cse

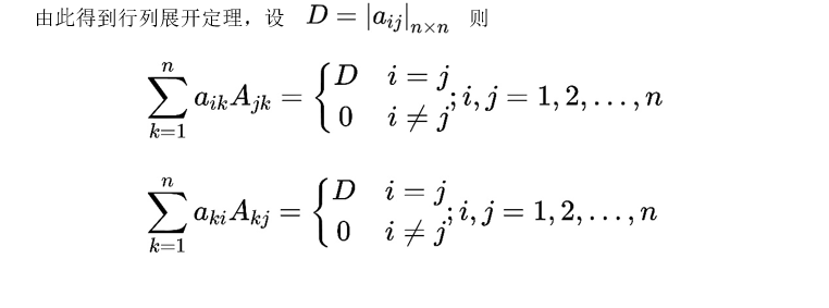
【一】行列式

 

 

 

发表于 2023-10-07 14:37  自动化是一种思想  阅读(13)  评论(0)    收藏  举报
 
刷新页面返回顶部
 

 公告


 导航

  • 博客园
  • 首页
  • 新随笔
  • 新文章
  • 联系
  • 订阅 订阅
  • 管理

博客园  ©  2004-2025
浙公网安备 33010602011771号 浙ICP备2021040463号-3