aplot包:让你画出更复杂的图

aplot包:让你画出更复杂的图

ggtree的开发催生了好几个包,包括tidytree, treeio等一系列之外,还有诸如图上嵌图的ggimage,当时一开始也是为了能够在进化树上加物种图片而开发的,还包括今天要介绍的aplot包。这个包的关键在于能够对齐图之间的坐标轴,这本来也是进化树与热图、柱状图之类的对齐的需求,而最早开发了xlim2()ylim2()两个函数,在开发ggtree的过程中,我时常会想能不能让ggtree的东西尽量能够用于ggplot2,后来由此就又衍生出了aplot包,最早见于《拼图?我掐指一算,发现事情没那么简单!》这一篇文章。

aplot初体验

其实像complexHeatmap之类复杂的图,无非就是在拼图。只要坐标能对齐,各种相关信息就可以在主图的上下左右展示了。

所以我在aplot里,提供了insert_top, insert_bottom, insert_leftinsert_right四个函数,以一个图为主图,然后在周围加注释图。

library(ggplot2)
library(aplot)
​
p <- ggplot(mtcars, aes(mpg, disp)) + geom_point()
p2 <- ggplot(mtcars, aes(mpg)) +
geom_density(fill='steelblue', alpha=.5) +
ggtree::theme_dendrogram()
p3 <- ggplot(mtcars, aes(x=1, y=disp)) +
geom_boxplot(fill='firebrick', alpha=.5) +
theme_void()
ap <- p %>%
insert_top(p2, height=.3) %>%
insert_right(p3, width=.1)
ggsave(filename="aplot.png", plot=ap)
library(ggtree)
set.seed(2020-03-27)
x <- rtree(10)
d <- data.frame(taxa=x$tip.label, value = abs(rnorm(10)))
p <- ggtree(x) + geom_tiplab(align = TRUE) + xlim(NA, 3)
​
library(ggstance)
p2 <- ggplot(d, aes(value, taxa)) + geom_colh() +
scale_x_continuous(expand=c(0,0))
​
library(patchwork)
p | p2
p2 %>% insert_left(p)
library(readr)
library(tidyr)
library(dplyr)
library(ggplot2)
library(ggtree)
​
file <- system.file("extdata", "scRNA_dotplot_data.tsv.gz", package="aplot")
gene_cluster <- readr::read_tsv(file)
​
dot_plot <- gene_cluster %>%
mutate(`% Expressing` = (cell_exp_ct/cell_ct) * 100) %>%
filter(count > 0, `% Expressing` > 1) %>%
ggplot(aes(x=cluster, y = Gene, color = count, size = `% Expressing`)) +
geom_point() +
cowplot::theme_cowplot() +
theme(axis.line = element_blank()) +
theme(axis.text.x = element_text(angle = 90, vjust = 0.5, hjust=1)) +
ylab(NULL) +
theme(axis.ticks = element_blank()) +
scale_color_gradientn(colours = viridis::viridis(20), limits = c(0,4), oob = scales::squish, name = 'log2 (count + 1)') +
scale_y_discrete(position = "right")
​
​
mat <- gene_cluster %>%
select(-cell_ct, -cell_exp_ct, -Group) %>% # drop unused columns to faciliate widening
pivot_wider(names_from = cluster, values_from = count) %>%
data.frame() # make df as tibbles -> matrix annoying
row.names(mat) <- mat$Gene # put gene in `row`
mat <- mat[,-1] #drop gene column as now in rows
clust <- hclust(dist(mat %>% as.matrix())) # hclust with distance matrix
​
ggtree_plot <- ggtree::ggtree(clust)
​
v_clust <- hclust(dist(mat %>% as.matrix() %>% t()))
ggtree_plot_col <- ggtree(v_clust) + layout_dendrogram()
​
​
labels= ggplot(gene_cluster, aes(cluster, y=1, fill=Group)) + geom_tile() +
scale_fill_brewer(palette = 'Set1',name="Cell Type") +
theme_void()
library(patchwork)
ggtree_plot | dot_plot | (ggtree_plot_col / labels)
dot_plot %>%
insert_left(ggtree_plot, width=.2) %>%
insert_top(labels, height=.02) %>%
insert_top(ggtree_plot_col, height=.1)

 

img

就这么简单的代码,奇迹再次出现,点图被重排了,不管是行还是列,都按照聚类的结果重新排好。细胞类型也被重排了,一切都如同许愿般的美好。出图如下:

然后我们用aplot来拼:

这里大家可以看到dot_plot所画的点图,根本就是杂乱的,而我们画的时候,也是没有聚类的,就按照矩阵,随便画画。眼尖的你可能还发现细胞类型的条型,也是乱的。

img

画好了这几张图之后,我们画出来看看。

例子有点长,因为要画好几张图。

例子来自于:https://davemcg.github.io/post/lets-plot-scrna-dotplots/,数据被打包到aplot包里。

一个单细胞例子的演示

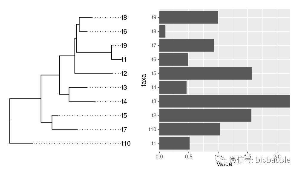
见证奇迹的时候到了,这个柱状图被重画了,它的顺序和树完美对应了。

img

一条语句把树放到柱状图的左边,结果出图如下:

还是上面两张图:

来自aplot的呼唤

这显然不是我们想要的,因为数据和树是不对应的,这也就是为什么大家不用ggplot2去画带聚类结果的热图。第一热图你会用ggplot2画,第二层次聚类结果你可能也会用ggplot2来画,但你没法拼在一起,因为你必须把你的热图按照层次聚类结果来重排重画。这不是一般人能干得出来的。

img

出图如下:

假如进化树你用得不多,那层次聚类你肯定是躲不过的,而类本身就是基于数据来聚的,也就是你天然会把聚类和原始数据(或相关数据,或衍生数据)放在一起出图。所以这很重要。假设有这么两张图,一张是树,一张是数据,用以前的方法,拼在一起会是怎么样?

和树关联?

如果你想保存这张图到文件,ggsave()也是支持的。使用你熟悉的语句,搞定。

img

然后我们在R命令行里打ap或者print(ap),图就画出来如下:

我们以第一张图为主图,在上面插入第二张图,在右边插入第三张图。

假如有以上三张图,图一为散点图,图二为密度图,图三是数据分布的箱式图。

posted @ 2020-11-21 19:48  小明小红  阅读(3072)  评论(0)    收藏  举报