网络流 题目推荐
提示:想看题目推荐往后翻
前言
网络流在算法竞赛中很常用,也是较为重要的算法,本篇为了使讲解更加通俗易懂,舍去了一些严谨性,恳请谅解。
什么是网络流
准确的说,网络流是一个带权的有向图,标准写法是 \(G = (V, E)\),该网络上所有点分别编号为 \(1 \sim n\),所有边分别编号为 \(1\sim m\),其中该网络的源点为 \(s\),汇点为 \(t\),网络上的每条边 \((u,v)\) 都有一个流量限制 \(w(u,v)\)。
通俗来讲,我们可以理解为这是许多水管组成的下水道,整个被称为 网络,有一个点称为 源点,所有水都从这里流出,汇点可以流出无限多的水,汇点连向许多管道,每个管道有流量限制(管道粗细),最终经过一些管道,一定量的水会汇聚到一个点——汇点。

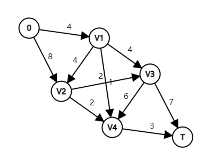
如图就是一个合法的网络。
接下来有几个概念:
-
可行流:如上图,\(0 → V1 → V3 → T\) 就是一个可行流,流向 T 的流量为 4,因为路径上对流量的最小限制为 4。
-
增广路:也称可改进路,指走完这条路径后,每条边扣除走过的流量,留下的图成为 残余网络,再在残余网络上重新找到新的路径,这就是一条增广路。
Ford-Fulkerson 算法
Ford-Fulkerson,简称FF, FF是一种简单的网络流算法,就是每次 dfs 在残余网络寻找新的增广路,不断更新最大流量,但这个算法速度较慢(但很好理解),我们直接学习 更快 的 Dinic 算法。
Dinic 算法
Dinic 相比 FF 要更快
-
使用多路增广,即类似用 dfs 写出类似 bfs 的感觉,u 通过一条边,流出了流量,v 获得流量后,直到这条路走完,再返回 v 流出的流量,如果 u 还有余流,则把余流分配给 u 流出的其他边。
-
用 bfs 对图进行分层,每个点有一个层级,每次流向下一层的点,如果无法流出,则把这个点往上提一层。
-
注意我们要建反向边,用于当前路径不够优时,有一次反悔的机会,记得反向边流量设为 0,保证反悔的时候没有损失流量。
-
当前弧优化: 在 dfs 时,流量留到第 i 条弧时,那前 i - 1 条弧一定被流满了,那下次再访问这个节点时,我们就直接从第 i 条弧开始枚举,这是一个小小的优化。
接下来给出代码,可以去提交模板题:P3376 【模板】网络最大流
#include <bits/stdc++.h>
#define ll long long
using namespace std;
const int MAXN = 200005;
const ll INF = 1e18;
template<typename T>
inline T read() {
T X = 0, w = 0; char ch = 0;
while (!isdigit(ch)) { w |= ch == '-'; ch = getchar(); }
while (isdigit(ch)) X = (X << 3) + (X << 1) + (ch ^ 48), ch = getchar();
return w ? -X : X;
}
int n, m, s, t, cnt = 1;
ll ans, d[MAXN];
int now[MAXN];
struct e{
int t;
long long w;
int next;
}edge[MAXN];
int head[MAXN];
inline bool bfs() {
memset(d, 0, sizeof(d));
d[s] = 1;
queue<int> q;
q.push(s);
now[s] = head[s];
while(!q.empty()) {
int x = q.front();
q.pop();
for(int i = now[x]; i; i = edge[i].next) {
if(d[edge[i].t] == 0 && edge[i].w != 0) {
now[edge[i].t] = head[edge[i].t];
d[edge[i].t] = d[x] + 1;
q.push(edge[i].t);
}
}
}
return d[t];
}
inline ll dfs(int x, ll flow) {
if(x == t) return flow;
ll sum = 0;
for(int i = now[x]; i; i = edge[i].next) {
now[x] = i;
if(edge[i].w != 0 && d[edge[i].t] == d[x] + 1) {
ll tmp = dfs(edge[i].t, min(flow - sum, edge[i].w));
edge[i].w -= tmp;
edge[i ^ 1].w += tmp;
sum += tmp;
if(sum == flow) return sum;
}
}
return sum;
}
inline void add(int u, int v, ll w) {
edge[++cnt].next = head[u];
edge[cnt].w = w;
edge[cnt].t = v;
head[u] = cnt;
}
int main() {
n = read<int>(), m = read<int>(), s = read<int>(), t = read<int>();
for(int i = 1; i <= m; i++) {
int u, v; ll w;
u = read<int>(), v = read<int>(), w = read<int>();
add(u, v, w);
add(v, u, 0);
}
while(bfs()) {
ans += dfs(s, 1e18);
}
cout << ans << "\n";
return 0;
}

浙公网安备 33010602011771号