C程序实验报告(四)
C程序设计实验报告
姓名:徐瑾琳
实验地点:家
实验时间:2020年4月12日
实验项目:
5.3.1练习2 求数列的前n项和
5.3.2练习2 求水仙花数
5.3.4 十进制转换
5.3.5练习1 百马百担问题
5.3.5练习2 求等差数列
5.3.5练习3 食品分配问题
九九乘法表的实现
一、实验目的与要求
1、熟练掌握使用while、do...while及for语句实现循环的方法。
2、了解3种循环语句的区别和转换、各自的适应性、循环的嵌套使用。
3、掌握在循环语句钟使用break 和 continue 语句改变程序流程图的方法。
4、能在程序设计中用循环的方法实现各种算法。
二、实验内容
1、实验练习:5.3.1练习2 求数列的前n项和
1问题的简单描述:编写程序,求数列1,-3!,5!,-7!,''',(-1)^(n-1)*(2n-1)!前n项的和。n值由键盘输入。
2实验代码:
#include<stdio.h>
main()
{
int n,i,j,sign=1;
float fac,sum;
printf("Please input value of n:");
scanf("%d",&n);
sum=0.0;
for(i=1;i<=n;i++)
{
fac=1.0;
for(j=1;j<=2*i-1;j++)
{
fac=fac*j;
}
fac=fac*sign;
sum=sum+fac;
sign=-sign;
}
printf("sum=%.0f\n",sum);
}
3问题分析:for语句的嵌套不够熟练,第n项的表达式一下没反应过来,逻辑关系容易搞混
2、实验练习:5.3.2练习2 求水仙花数
1问题的简单描述:求所有水仙花数(水仙花数是一个3位自然数,该数各位数的立方和等于该数本身,如153为水仙花数1³+5³+3³=153)。
2实验代码:
main()
{
int x,y,z;
int k=100;
while(k<=999)
{
x=k/100;
y=(k/10)%10;
z=k%10;
if(k==x*x*x+y*y*y+z*z*z)
printf("%d\n",k);
k++;
}
}
3问题分析:判断是否为水仙花数应该用if语句表判断
3、实验练习:5.3.4 十进制转换
1问题的简单描述:输入4个字符型数字,并把其转换成十进制整数后显示出来。
2实验代码:
main()
{
char c;
int k,data;
data=0;
for(k=0;k<4;k++)
{
while(1)
{
c=getchar();
if(c>='0'&&c<='9')
break;
}
if(k==0)
data+=(c-'0')*1000;
else if(k==1)
data+=(c-'0')*100;
else if(k==2)
data+=(c-'0')*10;
else
data+=(c-'0');
}
printf("Data=%d",data);
}
3问题分析:这个地方的while语句应该是表判断,圆括号内应填入非零数字,为真则进行循环;还有刚开始编写的时候没有插入if语句,直接将数字字符转化成十进制,导致程序不符合题意
4、实验练习:5.3.5练习1 百马百担问题
1问题的简单描述:有100匹马,要驮100担货物。其中1匹大马可以驮3担货物,1匹中马可以驮2担货物,2匹小马可以驮1担货物,求所需要的大马、中马和小马可以有多少种组合。
2实验代码:
main()
{
int m,n,k; //m,n,k分别代表大,大马,中马,小马的匹数
int sum=0;
printf("各种驮法如下:\n");
for(m=1;m<=100;m++)
for(n=1;n<=100-m;n++)
{
k=100-n-m;
if((k%2==0)&&(3*m+2*n+0.5*k==100))
{
printf("大马%3d匹;中马%3d匹;小马%3d匹.\n",m,n,k);
sum++;
}
else
continue;
}
printf("共有%d种驮法.\n",sum);
}
3问题分析:开始就是没看清是两匹小马驮一担货物;还有要区分break和continue的作用,分别是中断循环和跳出循环,进入下一次循环
5、实验练习:5.3.5练习2 求等差数列
1问题的简单描述:有一正整数等差数列,已知该数列前4项之和等于26,前四项之积等于880,,求该等差数列前六项的值和该数列前6项的和。
2实验代码:
main()
{
int a,b,c,d,i,sum=0;
for(a=1;a<=26;a++)
for(d=1;d<=26;d++)
{
b=4*a+6*d;
if(b!=26)
continue;
else
{
c=a*(a+d)*(a+2*d)*(a+3*d);
if(c!=880)
continue;
else
for(i=0;i<6;i++) //数列前六项的值
{
printf("%d ",a+i*d);
sum=sum+(a+i*d);
}
}
}
printf("\n数列的前六项的和: %d\n",sum);
}
3问题分析:这题使用的for循环及嵌套结构较繁杂,容易搞晕
6、实验练习:5.3.5练习3 食品分配问题
1问题的简单描述:有30个学生一起买小吃,共花费50元,其中,每个大学生花3元,每个中学生花2元,每个小学生花1元,求大、中、小学生的人数分配共有多少种不同的组合(不包含某类学生数为0的组合)。
2实验代码:
main()
{
int x,y,z,sum;
sum=0;
for(x=1;x<30;x++)
{
for(y=1;y<30;y++)
{
z=30-x-y;
if((z!=0)&&(3*x+2*y+z==50))
{
printf("大学生%3d\t中学生%3d\t小学生%3d\n",x,y,z);
sum+=1;
}
}
}
printf("共有%d种不同的组合。\n",sum);
}
3问题分析:主要就是注意条件的判断
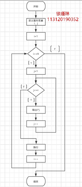
三、项目实训:九九乘法表
1、设计思路:定义变量i,j,使用for循环结构类似课本中输出三角形的结构中将最后输出的三角形改为ij,循环条件符合即可
2、流程图

3、设计过程中遇到的问题及改进的方法
4、代码
int main()
{
int i,j;
for(i=1;i<=9;i++)
{
for(j=1;j<=i;j++)
printf("%d*%d=%2d\t",j,i,i*j);
printf("\n");
}
return 0;
}
四、实验小结
通过本章节的学习,基本掌握了while,do...while,for三大循环语句的使用,还有break,continue语句在程序中的使用及作用,但是在使用时还是不太熟悉,需多加练习。在完成本章实验的时候,发现在看到课本上部分代码时有些陌生,对前面所学知识有所遗忘,这也是对之前知识的一种巩固,反正就是学习还是要瞻前顾后吧。

浙公网安备 33010602011771号