数组下标越界和使用,多维数组



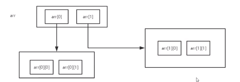
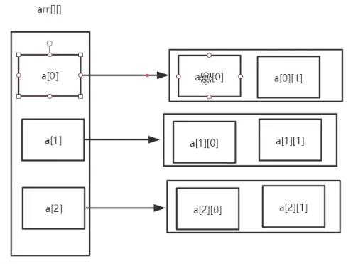
多维数组


//[4][2]
/*
1,2 array[0]
2,3 array[1]
3,4 array[2]
4,5 array[3]
*/
int[][] array = {{1,2},{2,3},{3,4},{4,5}};
// printArray(array[0]);
// System.out.println(array[0][0]);//1
// System.out.println(array[2][1]);//3
// 打印二维数组
for (int i = 0; i < array.length ; i++){
for (int j = 0; j<array[i].length ; j++){
System.out.println(array[i][j]);
}
}
浙公网安备 33010602011771号