树
树的概念----树的定义
一棵树是由n(n>0)个元素组成的有限集合,其中:
- 每个元素称为结点(node);
- 有一个特定的结点,称为根结点或树根(root);
- 除根结点外,其余结点能分成m(m>=0)个互不相交的有限集合T0,T1,T2,……Tm-1。其中的每个子集又都是一棵树,这些集合称为这棵树的子树。
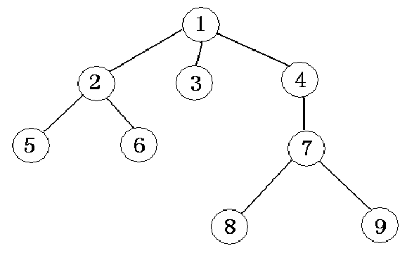
如下图是一棵典型的树:

树的基本概念
- 树是递归定义的;
- 一棵树中至少有1个结点。这个结点就是根结点,它没有前驱,其余每个结点都有唯一的一个前驱结点。每个结点可以有0或多个后继结点。因此树虽然是非线性结构,但也是有序结构。至于前驱后继结点是哪个,还要看树的遍历方法,我们将在后面讨论;
- 一个结点的子树个数,称为这个结点的度(degree,结点1的度为3,结点3的度为0);度为0的结点称为叶结点(树叶leaf,如结点3、5、6、8、9);度不为0的结点称为分支结点(如结点1、2、4、7);根以外的分支结点又称为内部结点(结点2、4、7);树中各结点的度的最大值称为这棵树的度(这棵树的度为3)。
- 在用图形表示的树型结构中,对两个用线段(称为树枝)连接的相关联的结点,称上端结点为下端结点的父结点,称下端结点为上端结点的子结点。称同一个父结点的多个子结点为兄弟结点。如结点1是结点2、3、4的父结点,结点 2、3、4是结点1的子结点,它们又是兄弟结点,同时结点2又是结点5、6的父结点。称从根结点到某个子结点所经过的所有结点为这个子结点的祖先。如结点1、4、7是结点8的祖先。称以某个结点为根的子树中的任一结点都是该结点的子孙。如结点7、8、9都是结点4的子孙。
- 定义一棵树的根结点的层次(level)为1,其它结点的层次等于它的父结点层次加1。如结点2、3、4的层次为1,结点5、6、7的层次为2,结点8、9的层次为3。一棵树中所有的结点的层次的最大值称为树的深度(depth)。如这棵树的深度为3。
- 对于树中任意两个不同的结点,如果从一个结点出发,自上而下沿着树中连着结点的线段能到达另一结点,称它们之间存在着一条路径。可用路径所经过的结点序列表示路径,路径的长度等于路径上的结点个数减1。如上图中,结点1和结点8之间存在着一条路径,并可用(1、4、7、8)表示这条路径,该条路径的长度为3。注意,不同子树上的结点之间不存在路径,从根结点出发,到树中的其余结点一定存在着一条路径。
- 森林(forest)是m(m>=0)棵互不相交的树的集合。
树的存储结构
方法1:数组,称为“父亲表示法”。
const int m = 10; //树的结点数 struct node { int data, parent; //数据域,指针域 }; node tree[m];
优缺点:利用了树中除根结点外每个结点都有唯一的父结点这个性质。很容易找到树根,但找孩子时需要遍历整个线性表。
方法2:树型单链表结构,称为“孩子表示法”。每个结点包括一个数据域和一个指针域(指向若干子结点)。称为“孩子表示法”。假设树的度为10,树的结点仅存放字符,则这棵树的数据结构定义如下:
const int m = 10; //树的度 typedef struct node; typedef node *tree; struct node { char data; //数据域 tree child[m]; //指针域,指向若干孩子结点 };
tree t;
缺陷:只能从根(父)结点遍历到子结点,不能从某个子结点返回到它的父结点。但程序中确实需要从某个结点返回到它的父结点时,就需要在结点中多定义一个指针变量存放其父结点的信息。这种结构又叫带逆序的树型结构。
方法3:树型双链表结构,称为“父亲孩子表示法”。每个结点包括一个数据域和二个指针域(一个指向若干子结点,一个指向父结点)。假设树的度为10,树的结点仅存放字符,则这棵树的数据结构定义如下:
const int m = 10; //树的度 typedef struct node; typedef node *tree; //声明tree是指向node的指针类型 struct node { char data; //数据域 tree child[m]; //指针域,指向若干孩子结点 tree father; //指针域,指向父亲结点 }; tree t;
方法4:二叉树型表示法,称为“孩子兄弟表示法”。也是一种双链表结构,但每个结点包括一个数据域和二个指针域(一个指向该结点的第一个孩子结点,一个指向该结点的下一个兄弟结点)。称为“孩子兄弟表示法”。假设树的度为10,树的结点仅存放字符,则这棵树的数据结构定义如下:
typedef struct node; typedef node *tree; struct node { char data; //数据域 tree firstchild, next; //指针域,分别指向第一个孩子结点和下一个兄弟结点 }; tree t;
例1:找树根和孩子
【问题描述】 给定一棵树,输出树的根root,孩子最多的结点max以及他的孩子
【输入格式】 第一行:n(结点数<=100),m(边数<=200)。
以下m行;每行两个结点x和y, 表示y是x的孩子(x,y<=1000)。
【输出格式】 第一行:树根:root。
第二行:孩子最多的结点max。
第三行:max的孩子。
【输入样例】
8 7
4 1
4 2
1 3
1 5
2 6
2 7
2 8
【输出样例】
4
2
6 7 8
【参考程序】
#include <iostream> using namespace std; int n, m, tree[101] = {0}; int main() { int i, x, y, root, maxroot, sum = 0, j, Max = 0; cin >> n >> m; for (i = 1; i <= m; i++) { cin >> x >> y; tree[y] = x; } for (i = 1; i <= n; i++) //找出树根 if (tree[i] == 0) { root = i; break; } for (i = 1; i <= n; i++) //找孩子最多的结点 { sum = 0; for (j = 1; j <= n; j++) if (tree[j] == i) sum++; if (sum > Max) { Max = sum; maxroot = i; } } cout << root << endl << maxroot << endl; for (i = 1; i <= n; i++) if (tree[i] == maxroot) cout << i << " "; return 0; }
树的遍历
在应用树结构解决问题时,往往要求按照某种次序获得树中全部结点的信息,这种操作叫作树的遍历。遍历的方法有多种,常用的有:
- 先序(根)遍历:先访问根结点,再从左到右按照先序思想遍历 各棵子树。 如上图先序遍历的结果为:125634789;
- 后序(根)遍历:先从左到右遍历各棵子树,再访问根结点。如 上图后序遍历的结果为:562389741;
- 层次遍历:按层次从小到大逐个访问,同一层次按照从左到右的 次序。 如上图层次遍历的结果为:123456789;
- 叶结点遍历:有时把所有的数据信息都存放在叶结点中,而其余 结点都是用来表示数据之间的某种分支或层次关系,这种情况就 用这种方法。如上图按照这个思想访问的结果为:56389;

1、2两种方法的定义是递归的,所以在程序实现时往往也是采用递归的思想。既通常所说的“深度优先搜索”。如用先序遍历编写的过程如下:
void tral(tree t, int m) { if (t) { cout << t->data << endl; for (int i = 0; i < m; i++) tral(t->child[i], m); } }
3方法应用也较多,实际上是我们讲的“广度优先搜索”。思想如下:若某个结点被访问,则该结点的子结点应记录,等待被访问。顺序访问各层次上结点,直至不再有未访问过的结点。为此,引入一个队列来存储等待访问的子结点,设一个队首和队尾指针分别表示出队、进队的下标。程序框架如下:
const int n = 100; int head, tail, i; tree q[n]; tree p; void work() { tail = head = 1; q[tail] = t; tail++; //队尾为空 while (head < tail) { p = q[head]; head++; cout << p->data << ' '; for (i = 0; i < m; i++) if (p->child[i]) { q[tail] = p->child[i]; tail++; } } }
例2、单词查找树
【问题描述】 在进行文法分析的时候,通常需要检测一个单词是否在我们的单词列表里。为了提高查找和定位的速度,通常都画出与单词列表所对应的单词查找树,其特点如下:
1.根结点不包含字母,除根结点外每一个结点都仅包含一个大写英文字母;
2.从根结点到某一结点,路径上经过的字母依次连起来所构成的字母序列,称为该结点对应的单词。单词列表中的每个单词,都是该单词查找树某个结点所对应的单词;
3.在满足上述条件下,该单词查找树的结点数最少。
4.例如图左边的单词列表就对应于右边的单词查找树。注意,对一个确定的单词列表,请统计对应的单词查找树的结点数(包含根结点)。
【问题输入】 输入文件名为word.in,该文件为一个单词列表,每一行仅包含一个单词和一个换行/回车符。每个单词仅由大写的英文字母组成,长度不超过63个字母 。文件总长度不超过32K,至少有一行数据。 【问题输出】 输出文件名为word.out,该文件中仅包含一个整数,该整数为单词列表对应的单词查找树的结点数。
【样例输入】
A
AN
ASP
AS
ASC
ASCII
BAS
BASIC
【样例输出】
13

【算法分析】 首先要对建树的过程有一个了解。对于当前被处理的单词和当前树:在根结点的子结点中找单词的第一位字母,若存在则进而在该结点的子结点中寻找第二位……如此下去直到单词结束,即不需要在该树中添加结点;或单词的第n位不能被找到,即将单词的第n位及其后的字母依次加入单词查找树中去。但,本问题只是问你结点总数,而非建树方案,且有32K文件,所以应该考虑能不能不通过建树就直接算出结点数?为了说明问题的本质,我们给出一个定义:一个单词相对于另一个单词的差:设单词1的长度为L,且与单词2从第N位开始不一致,则说单词1相对于单词2的差为L-N+1,这是描述单词相似程度的量。可见,将一个单词加入单词树的时候,须加入的结点数等于该单词树中已有单词的差的最小值。 单词的字典顺序排列后的序列则具有类似的特性,即在一个字典顺序序列中,第m个单词相对于第m-1个单词的差必定是它对于前m-1个单词的差中最小的。于是,得出建树的等效算法:
- 读入文件;
- 对单词列表进行字典顺序排序;
- 依次计算每个单词对前一单词的差,并把差累加起来。注意:第 一个单词相对于“空”的差为该单词的长度;
- 累加和再加上1(根结点),输出结果。 就给定的样例,按照这个算法求结点数的过程如下表:

【数据结构】 先确定32K(32*1024=32768字节)的文件最多有多少单词和字母。当然应该尽可能地存放较短的单词。因为单词不重复,所以长度为1的单词(单个字母)最多26个;长度为2的单词最多为26*26=676个;因为每个单词后都要一个换行符(换行符在计算机中占2个字节),所以总共已经占用的空间为:(1+2)*26+(2+2)*676=2782字节;剩余字节(32768-2782=29986字节)分配给长度为3的单词(长度为3的单词最多有 26*26*26=17576个)有29986/(3+2)≈5997。所以单词数量最多为26+676+5997=6699。 定义一个数组:string a[32768];把所有单词连续存放起来,用选择排序或快排对单词进行排序。
#include <iostream> #include <cstdio> #include <string> using namespace std; int i, j, n, t, k; string a[8001]; //数组可以到32768 string s; int main() { freopen("word.in", "r", stdin); freopen("word.out", "w", stdout); while (cin >> a[++n]); //读入文件中的单词并且存储到数组中 n--; for (i = 1; i < n; i++) //单词从小到大排序,选择排序可改为快排sort(a + 1, a + n + 1) for (j = i + 1; j <= n; j++) if (a[i] > a[j]) //两个单词进行交换 { s = a[i]; a[i] = a[j]; a[j] = s; } t = a[1].length(); //先累加第1个单词的长度 for (i = 2; i <= n; i++) //依次计算每个单词对前一单词的差 { j = 0; while (a[i][j] == a[i - 1][j] && j < a[i - 1].length()) j++; //求两个单词相同部分的长度 t += a[i].length() - j; //累加两个单词的差length(a[i])-j } cout << t + 1 << endl; return 0; }
例3、四分树(Quadtree, UVa 297)
【问题描述】

【问题输入】

【问题输出】

【样例输入】
3 ppeeefpffeefe pefepeefe peeef peefe peeef peepefefe
【样例输出】
There are 640 black pixels. There are 512 black pixels. There are 384 black pixels.
#include <iostream> #include <cstring> using namespace std; const int len = 32; const int maxn = 1024 + 10; char s[maxn]; int buf[len][len], cnt; /* 把字符串 s[p..] 导出到以 {r , c} 为左上角,边长为 w 的缓冲区中 2 1 3 4 */ void draw(const char *s, int &p, int r, int c, int w) { char ch = s[p++]; if (ch == 'p') { draw(s, p, r, c + w / 2, w / 2); //1 draw(s, p, r, c, w / 2); //2 draw(s, p, r + w / 2, c, w / 2); //3 draw(s, p, r + w / 2, c + w / 2, w / 2); //4 } else if (ch == 'f') { //画黑像素(白像素不画) for (int i = r; i < r + w; i++) { for (int j = c; j < c + w; j++) { if (buf[i][j] == 0) { buf[i][j] = 1; cnt++; } } } } } int main() { int T; scanf("%d", &T); while (T--) { memset(buf, 0, sizeof(buf)); cnt = 0; for (int i = 0; i < 2; i++) { scanf("%s", s); int p = 0; draw(s, p, 0, 0, len); } printf("There are %d black pixels.\n", cnt); } return 0; }

浙公网安备 33010602011771号