[Swift]冒泡排序 | Bubble sort
★★★★★★★★★★★★★★★★★★★★★★★★★★★★★★★★★★★★★★★★
➤微信公众号:山青咏芝(shanqingyongzhi)
➤博客园地址:山青咏芝(https://www.cnblogs.com/strengthen/)
➤GitHub地址:https://github.com/strengthen/LeetCode
➤原文地址:https://www.cnblogs.com/strengthen/p/11012004.html
➤如果链接不是山青咏芝的博客园地址,则可能是爬取作者的文章。
➤原文已修改更新!强烈建议点击原文地址阅读!支持作者!支持原创!
★★★★★★★★★★★★★★★★★★★★★★★★★★★★★★★★★★★★★★★★

1、算法原理:
(1)、比较相邻的元素。如果第一个比第二个大,就交换他们两个。
(2)、对每一对相邻元素做同样的工作,从开始第一对到结尾的最后一对。
(3)、针对所有的元素重复以上的步骤,除了最后一个。
(4)、持续每次对越来越少的元素重复上面的步骤,直到没有任何一对数字需要比较
助记码:
1 i∈[0,N-1) //循环N-1遍 2 j∈[0,N-1-i) //每遍循环要处理的无序部分 3 swap(j,j+1) //两两排序(升序/降

2、流程图:

3、动图演示:


使用冒泡排序为一列数字进行排序的过程
4、算法分析:时间复杂度
(1)、若文件的初始状态是正序的,一趟扫描即可完成排序。所需的关键字比较次数和记录移动次数
均达到最小值:
,
。所以,冒泡排序最好的时间复杂度为
。
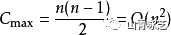
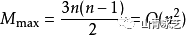
(2)、若初始文件是反序的,需要进行 趟排序。每趟排序要进行
(1≤i≤n-1)次关键字的比较,且每次比较都必须移动记录三次来达到交换记录位置。在这种情况下,比较和移动次数均达到最大值:
冒泡排序的最坏时间复杂度为 。因此冒泡排序总的平均时间复杂度为
。
6、算法稳定性
冒泡排序就是把小的元素往前调或者把大的元素往后调。比较是相邻的两个元素比较,交换也发生在这两个元素之间。所以,如果两个元素相等,是不会再交换的;如果两个相等的元素没有相邻,那么即使通过前面的两两交换把两个相邻起来,这时候也不会交换,所以相同元素的前后顺序并没有改变,所以冒泡排序是一种稳定排序算法。
7、优化冒泡排序:
(1)、判断出数列已经有序,并作出标记,则剩下的几轮排序即可不执行。
(2)、在每一轮排序后,记录最后一次元素交换的位置,该位置即为无序数列的边界,其后就是有序区。
Talk is cheap.Show me your code:
1 func bubbleSort(_ array: inout [Int]){ 2 if array.isEmpty {return} 3 var lastExchangeIndex:Int = 0 4 //无序数列的边界,每次比较只需要比到这里为止 5 var sortBorder:Int = array.count - 1 6 for i in 0..<array.count - 1 7 { 8 //有序标记,每一轮的初始是true 9 var isSorted:Bool = true 10 for j in 0..<sortBorder 11 { 12 if(array[j] > array[j + 1]) 13 { 14 //交换数据 15 array.swapAt(j, j + 1) 16 //有元素交换,所以不是有序,标记变为false 17 isSorted = false 18 //把无序数列的边界更新为最后一次交换元素的位置 19 lastExchangeIndex = j 20 } 21 } 22 sortBorder = lastExchangeIndex 23 if isSorted {break} 24 } 25 }
8、测试
1 var arr:[Int] = [1,9,2,8,3,7,4,6,5,10,11,12] 2 bubbleSort(&arr) 3 print(arr) 4 //Print [1, 2, 3, 4, 5, 6, 7, 8, 9, 10, 11, 12]

浙公网安备 33010602011771号