算法实践2-2 Dijkstra
问题:
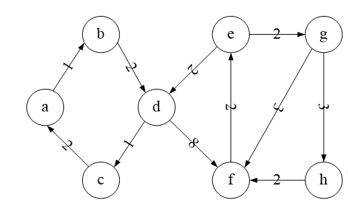
对于下图使用\(Dijkstra\)算法求由顶点\(a\)到顶点\(h\)的最短路径,按实验报告模板编写算法。

解析
我们从一个源点\(S\)出发,要找它到点\(T\)的最短距离,可以考虑将和源点相邻的点都放到我们的一个决策集合里。然后我们每次贪心地拿出到距离点\(S\)距离最近的点\(u\),然后遍历跟点\(u\)相邻的点\(v\),如果原先点\(v\)到点\(S\)的距离大于点\(u\)到点\(S\)的距离加上点\(u\)到点\(v\)的距离,那么我们就可以更新点\(v\)到点\(S\)的距离,同时也把点\(v\)加入我们的决策集合里,待到下一次选择点时,也将其纳入考虑的范围。当我们在决策集合中选择到点\(T\)时结束。
设计
void Dijkstra(int s, int t) {
建立决策集合q
将点s放入q中
while (q不为空) {
取出距离点s最近的点u
if (u == t) return;
for (遍历和u相邻的点v) {
if (dis[v] > dis[u] + w) {
dis[v] = dis[u] + w;
将点v加入q中
}
}
}
}
分析
需要遍历所有边,时间复杂度为\(O(e)\)。再加上用堆优化我们的决策集合,维护决策集合的时间复杂度为\(O(logn)\)。维护决策集合需要在遍历边的里面完成,所以总时间复杂度为\(O(elogn)\)。
源码
https://github.com/Sstee1XD/Algorithm_homework/tree/main/实验2-2 Dijkstra
#include <bits/stdc++.h>
using namespace std;
const int inf = 0x3f3f3f3f;
const int N = 1e2 + 7;
struct Edge {
int nxt, v, w;
Edge () {}
Edge (int nxt, int v, int w) : nxt(nxt), v(v), w(w) {}
}edge[(N * N + N) << 1];
struct qnode {
int u, w;
bool operator < (const qnode &a) const {
return w > a.w;
}
qnode () {}
qnode (int u, int w) : u(u), w(w) {}
};
int dis[N], head[N], vis[N];
int n, m, u, v, w, tot, s, t;
void addedge(int u, int v, int w) {
edge[tot] = Edge(head[u], v, w);
head[u] = tot++;
}
void Dijkstra(int s, int t) {
memset(dis, 0x3f, sizeof(dis));
memset(vis, 0, sizeof(vis));
dis[s] = 0;
priority_queue<qnode> q;
q.push(qnode(s, 0));
while (!q.empty()) {
int u = q.top().u;
q.pop();
if (vis[u]) continue;
vis[u] = 1;
if (u == t) return;
for (int i = head[u]; ~i; i = edge[i].nxt) {
int v = edge[i].v, w = edge[i].w;
if (dis[v] > dis[u] + w) {
dis[v] = dis[u] + w;
q.push(qnode(v, dis[v]));
}
}
}
}
int main() {
tot = 0;
memset(head, -1, sizeof(head));
scanf("%d %d", &n, &m);
for (int i = 1; i <= m; ++i) {
getchar();
scanf("%c %c %d", &u, &v, &w);
u -= 'a';
v -= 'a';
addedge(u, v, w);
}
getchar();
scanf("%c %c", &s, &t);
s -= 'a';
t -= 'a';
Dijkstra(s, t);
printf("%d\n", dis[t]);
return 0;
}
/*
8 11
a b 1
b d 2
c a 2
d c 1
d f 8
e d 2
e g 2
f e 2
g f 3
g h 3
h f 2
a h
*/

浙公网安备 33010602011771号