LeeCode-226. 翻转二叉树
要求
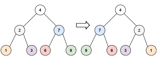
给你一棵二叉树的根节点 root ,翻转这棵二叉树,并返回其根节点。 如下图所示反转所有左右节点.
解题思路
 与94题类似,采用递归调用遍历子节点。在基本结构中,先调换左右节点,再对左右节点内部递归调用本身。
实现代码
    TreeNode* invertTree(TreeNode* root) {
        if(root)
        {
            TreeNode* temp=root->left;
            root->left=root->right;
            root->right=temp;
            if(root->left)
            invertTree(root->left);
            if(root->right)
            invertTree(root->right);
        }
        return root;
    }
  作者:robot2017
出处:https://www.cnblogs.com/stephen2023/p/18397456
版权:本文版权归作者和博客园共有
转载:欢迎转载,但未经作者同意,必须保留此段声明;必须在文章中给出原文连接;否则必究法律责任
出处:https://www.cnblogs.com/stephen2023/p/18397456
版权:本文版权归作者和博客园共有
转载:欢迎转载,但未经作者同意,必须保留此段声明;必须在文章中给出原文连接;否则必究法律责任
 
                    
                     
                    
                 
                    
                 
                
            
         
         浙公网安备 33010602011771号
浙公网安备 33010602011771号