基础算法 —— 1. 算法分析基础
循环不变性
loop invariant 证明算法正确性
- 
Initialization: It is true prior to the first iteration of the loop. 在第一次执行赋值操作后,检查真值前的状态。 
- 
Maintenance: If it is true before an iteration of the loop, it remains true before the 
 next iteration.理解这个循环体。不要拘泥于小细节,例如循环体内嵌套的小循环 
- 
Termination: When the loop terminates, the invariant gives us a useful property 
 that helps show that the algorithm is correct.
It's similar to mathematical induction
to prove that a property holds, you prove a base case and an inductive step.
- base case corresponds to the invariant holds before the first iteration.
- inductive step corresponds to the invariant holds from iteration to iteration.
- but the temmination step not simmlar to the mathematical induction .
函数渐进表示法
定义

 
 
 
 
 
递推公式的计算方法
- 
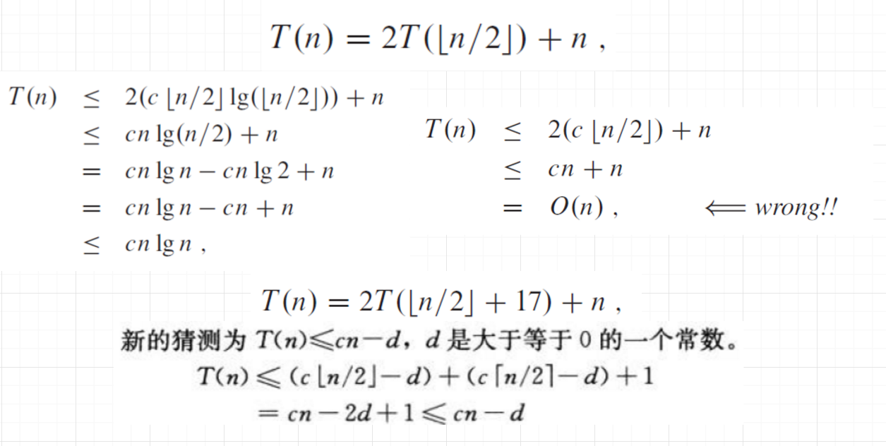
substitution method: We substitute the guessed solution for the function when applying the inductive hypothesis to smaller values.   
- 
recursion-tree method    
- 
master method   
时间复杂度分析
证明时间复杂度,可以用极限。
相应定理运算


 
 
 
 

 
                
            
         
         浙公网安备 33010602011771号
浙公网安备 33010602011771号