组合计数
简介
组合数学主要是研究某组离散对象满足一定条件的安排的存在性、构造及计数等问题。组合计数理论是组合数学中一个最基本的研究方向,主要研究满足一定条件的安排方式的数目及其计数问题。本课程主要介绍组合数学中常见的和重要的一些计数原理、计数方法和计数公式,包括一般的排列、组合的计算以及生成函数、容斥原理、反演原理、Polya 计数定理等等,是研究组合数学的初步。
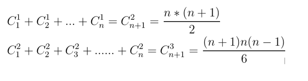
常用计算公式
定义
运算





二项式定理
这就是二项式定理,等式右边即为 \((a+b)^n\)的二项展开式,它共有 \(n+1\) 项
叫做二项展开式的第 \(r+1\) 项,也即通项,用 \(T_{r+1}\) 表示
叫做第 \(r+1\) 项的二项式系数
代码
//组合数学计算c(n,m)
1、c(n,m)=n!/(m!*(n-m)!)
long long cal_c(int n, int m)
{
long long c;
if(n < m)
c=0;
else if (n == m || m == 0)
c=1;
else
{
c = 1;
n = n - m + 1;
for (int i=1; i<=m; i++)
{
c *= n++;
c /= i;
}
}
return c;
}
long long cal_c(int n,int k)
{
if(k>n/2)
k=n-k; //减少枚举量
long long a=1,b=1;
for(int i=1;i<=m;i++)
{
a*=n+1-i;
b*=i;
if(a%b==0)
a/=b,b=1;
}
return a/b;
}
2、数学知识 c(n,m)=c(n-1,m)+c(n-1,m-1)
void db()
{
for(int i=0;i<maxn;i++)
c[i][0]=1;
for(int i=1;i<maxn;i++)
for(int j=1;j<maxn;j++)
c[i][j]=c[i-1][j]+c[i-1][j-1];
}

浙公网安备 33010602011771号