概率论笔记(五)随机向量/多元随机变量
文章目录
一:联合分布
引入:

1.1联合分布函数


注:相比于一维的分布函数,其增加了一维空间,成了二维空间,测试整体的二维空间变成了整体的1;之后同样是概率的累计。
1.2二维离散型随机向量及其联合分布列


1.3二维连续型随机向量及其联合密度函数

性质:

二:边缘分布与随机变量的独立性
2.1边缘分布

联合分布函数求边缘分布函数:

注:其意义就是在不管其中一个变量(不局限其范围,即最大范围)的时候,求另一个变量。其中例子见参考书吧。
2.2随机变量的独立性


注: 见上面的最后一段,需要注意的是,之前咱们可以从联合分布求边缘分布,而从边缘分布求联合分布一般是不可能的,但是当X和Y独立的时候,边缘分布求联合分布是可以的。
2.3两个随机变量下的函数的分布
注:其类似于复合随机,见:https://blog.csdn.net/qq_37534947/article/details/109587828,只是增加成了两个变量。
2.3.1离散型


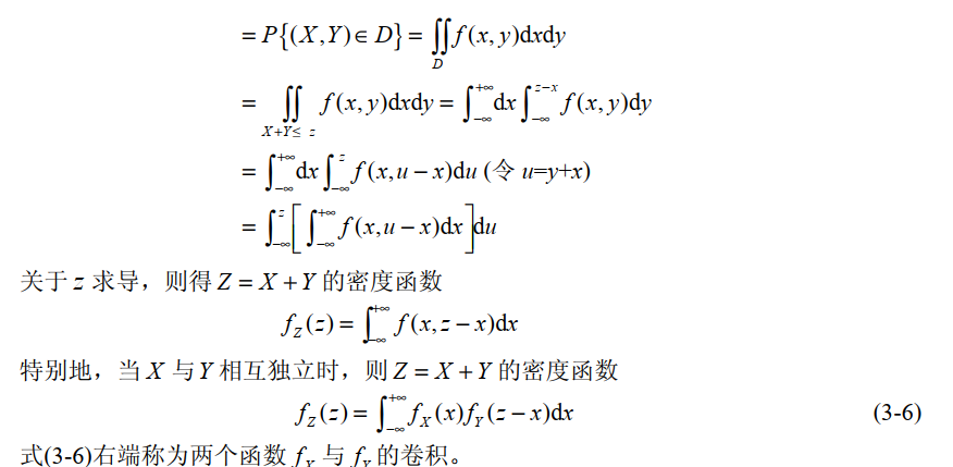
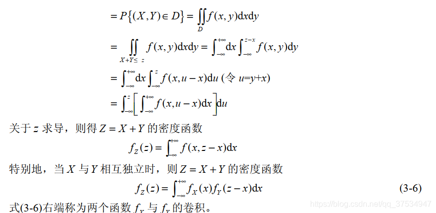
2.3.2连续型


参考书籍:
概率论与数理统计 黄清龙.pdf

浙公网安备 33010602011771号