数据结构分析_Inception_GNN_GCN
文章目录
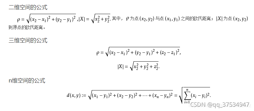
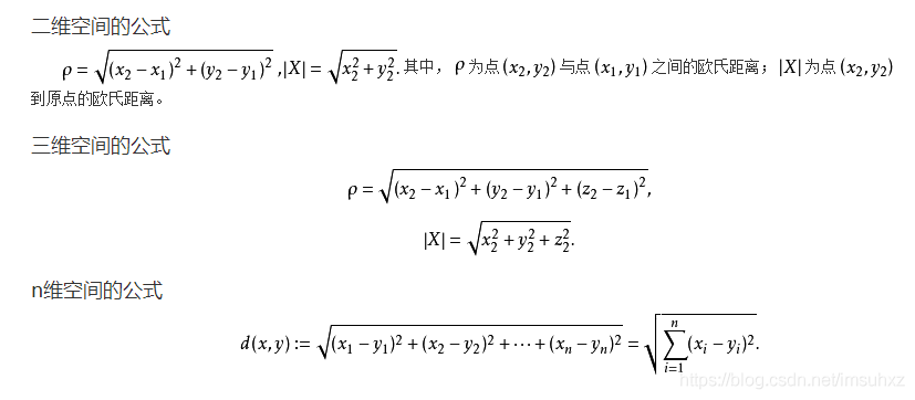
1.数据结构分析(欧几里德和非欧几里德数据)
- 欧几里德数据
![在这里插入图片描述]()
如上图所示,每个节点之间都是排列整齐的,所以很容易的可以定义出距离来,如下图所示:
![在这里插入图片描述]()
- 非欧几里德数据
![在这里插入图片描述]()
排列不整齐,比较的随意。具体体现在:对于数据中的某个点,难以定义出其邻居节点出来,或者是不同节点的邻居节点的数量是不同的。
https://blog.csdn.net/imsuhxz/article/details/91361977
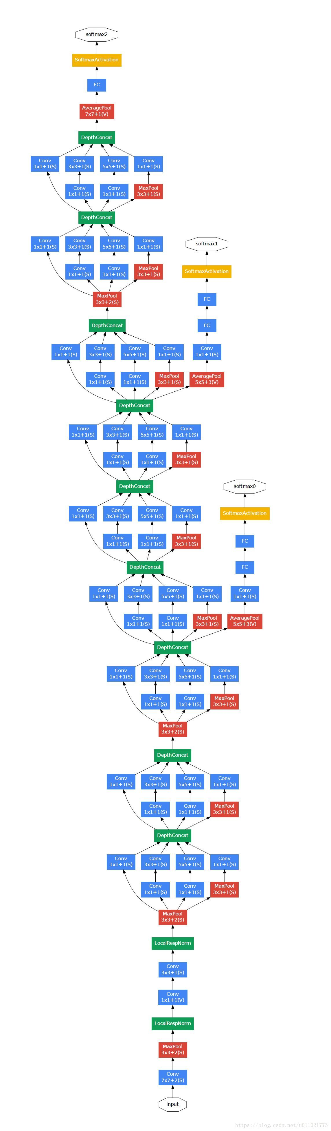
2.inception V1 V2 V3 V4
inception V1

卷积了几步之后就开始出现并行的过程,换成几个 1 * 1, 3 * 3, 5 * 5的卷积并列。然后再把分别卷积的结果作为层数维度上的合并。
比方说这一层本来是一个2828大小的卷积核,一共输出224层,换成inception以后就是64层1 * 1, 128层3 * 3, 32层5 * 5。这样算到最后依然是224层,但是参数个数明显减少了,从2828*224 = 9834496 变成了1 * 1 * 64+3 * 3 * 128+5 * 5 *32 = 2089,减小了几个数量级。
再上一张形象的图:

Inception V2
inception V2 其实在网络上没有什么改动,只是在输入的时候增加了batch_normal,所以他的论文名字也是叫batch_normal,加了这个以后训练起来收敛更快,学习起来自然更高效,可以减少dropout的使用。

BN 理解
神经网络中传递的张量数据,其维度通常记为[N, H, W, C],其中N是batch_size,H、W是行、列,C是通道数。那么上式中BN的输入集合 [公式] 就是下图中蓝色的部分。


https://zhuanlan.zhihu.com/p/93643523
Inception V3
Inception V3把googlenet里一些7 * 7的卷积变成了1 * 7和7 * 1的两层串联,3 * 3 的也一样,变成了1 * 3和3 * 1,这样加速了计算,还增加了网络的非线性,减小过拟合的概率。另外,网络的输入从224改成了299.
Inception V4
inception v4实际上是把原来的inception加上了resnet的方法,从一个节点能够跳过一些节点直接连入之后的一些节点,并且残差也跟着过去一个。
另外就是V4把一个先1 * 1再3 * 3那步换成了先3 * 3再1 * 1.
论文说引入resnet不是用来提高深度,进而提高准确度的,只是用来提高速度的
https://blog.csdn.net/u011021773/article/details/80791650
3.GNN简单理解
- 聚合
![在这里插入图片描述]()
- 更新
![在这里插入图片描述]()
- 传递
![在这里插入图片描述]()
https://www.bilibili.com/video/BV1Tf4y1i7Go/?spm_id_from=333.788.recommend_more_video.-1
4.GCN简单理解
对于上面聚合没有考虑到自己的信息以及对于GNN中聚合里的B、C、D点的权重如何确定?
- 聚合(包含自己)
![在这里插入图片描述]()
- 平均法(由特例,如:收入不均衡)
![在这里插入图片描述]()
- 解决(公式中D是度的意思,来限制权重)
![在这里插入图片描述]()
https://www.bilibili.com/video/BV1Xy4y1i7sq?spm_id_from=333.999.0.0










浙公网安备 33010602011771号