spanning tree protocol(stp)
portfast快速端口
blk20-slis15s-ler15s-fwd
接非交换机设备,如pc、路由器
实验

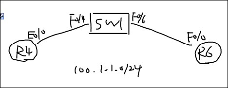
r4:
int e0/0
ip add 100.1.1.4 255.255.255.0
no sh
r6:
int f0/0
ip add 100.1.1.6 255.255.255.0
no sh
shutdown
sw1:
show spanning tree
debug spanning-tree events
默认情况下r4和r6通需要30秒。
将接入端口设置为portfast让接入端快速收敛。
应用地方
portfast:接入端口非交换机设备,节约了30秒时间
sw1:
int f0/6
spanning-tree portfast
全局命令
spanning-tree portfast default(把交换机所有的接口都作为portfast)
int f0/1
spanning-tree portfast disable(把接交换机的接口portfast关闭)
uplinkfast(上联线路快速收敛)

当上联链路断开blk端口要成为flw需要30秒。
实验:

sw1:
spanning-tree vlan 1 priority 0(设置sw1为跟桥)
sw2:
debug spanning-tree events
int f0/12
shutdown
在未配置uplinkfast之前当sw2的f0/12接口down后需要30秒
spanning-tree uplinkfast
uplinkfast接入层sw 节约30秒,优先级强制增加到49152,cost值增加了3000,show spanning tree 显示uplinkfast enabled
backbonefast
不配置backonefast从blk到flw需要50秒
sw2:
int f0/12
no sh
debug spanning-tree events
sw3:
int f0/8
shutdown
backbonefast 所有sw启用 节约20秒
原理
一台交换机启用了backbonefast收到次级bpdu以后通过它的rp发出一个叫rlq(跟桥链路查询)的查询,跟桥收到以后会回response,当我收到这个回应会把blk接口直接到lis状态。
sw1:
spanning-tree backonefast
sw2:
spanning-tree backonefast
sw3:
spannint-tree backonefast
sw2:
show spanning-tree backonefast
rstp(802.1w)快速生成树
rstp端口状态
discarding(blk-lis)-learning-forwarding
rstp端口角色
rp dp ap( 替代端口)bp(备份端口){ndp}无论是ap还是bp都是blk的。主要看这两个blk有什么区别。
ap:我本地的bpdu没有别的交换机的bpdu好.
bp:我本地的两个接口一个每一个接口号小.
分段收敛,1-2秒
过程,收到proposal吧所有接口执为同步,
rstp链路类型
p2p快速收敛
shared stp
可以强制把链路类型改为p2p
spanning-tree link-type
cisco默认是工作在pvst他实际的思想是stp,但是你的端口角色包含有ap何bp的叫法,或者链路类型有点到点和共享。它只是借用了rstp交换,实际的工作原理还是stp。
rstp每台交换机都会2秒发送一次bpdu,充当了keeplive。继承了banbongfast和uplinkfast。
启用方式
spanning-tree mode rapid-pvst
mstp(多实例生成树802.1s)

mst部署
vlan1-5 in1
vlan6-10 in2
sw1:
spanning-tree mode mst
show spanning-tree mst
spanning-tree mst configuration
name smoke
revision 2
instance 1 1-5
instance 2 6-10
show spanning-tree mst
spanning-tree mst 1 priority 0(设置这个组中的跟桥)
show spanning-tree mst configuration
etherchannel(线路捆绑)
pagp(端口聚合协议思科私有)
lacp(ieee802.3ad)
pagp:desiable/auto
lacp:active/passive
on
实验:

sw1:
interface range f0/11,f0/12
channel-group 1 mode on
sw2:
interface range f0/11,f0/12
channel-group 1 mode on
注意:
配置etherchannel必须所有接口都支持。
要配置etherchannel必须所有接口速率和工作模式一致。
不能做一个端口的流量映射到另个端口
一旦配置了port-channel会生成3层接口
etherchannel load balancing(做负载分担)
基于mac地址
switch(config)#port-channel load-balance src-mac
show etherchannel load-balance
最多支持8个接口捆绑。
show etherchannel summary
bpdu guard(bpdu防护)
switch(config)#spanning-tree portfast bpduguard
switch#show spanning-tree summay totals
做在接入层,确定该接口接入的是pc或路由器,当收到bpdu接口会进入err-disable,恢复方法手工(shutdown,noshutdown),自动恢复。多少秒以后自动恢复。
实验:

sw1:
int f0/11
spanning-tree bpduguared enable
设置自动恢复
errdisable recover cause bpduguard(默认300秒恢复)
show errdisable recover
errdisable recovery interval 30(手工设置恢复时间)
全局命令
spanning-tree portfast bpduguard default(所有接口都作为bpduguard)
int f0/1
spanning-tree bpduguard disable(关闭接交换机的bpduguard)
bpdu filter
switch(config)#spaning-tree portfast bpdufilter default
switch#show spanning-tree summary totals
收到bpdu只把bpdu包drop掉。
sw1:
int f0/11
spanning-tree bpdufilter enable
bpdufilter的接口即不发也不收bpdu
bpduguard的接口不会收但是会发
root guard(跟桥防护)
做了跟桥防护,当我再收到更优的bpdu将接口置为不一致的状态标示为broken,但bloken是自适应的,就是收到bpdu会bloken,收不到又会up.
sw1:
int f0/11
spanning-tree guard root
show spanning-tree interface fastethernet 0/11 detail
switch#show spanning-tree inconsistentports
loop guard(stp环路)
单向链路检测失败
udld 光纤口
单向链路出现问题把整个接口都阻塞
开始方式udld enable
单个接口开始方式
int f0/11
udld port
switch(config-if)#spanning-tree guard loop
udld和loop guard区别
都是基于端口,loop guard还可以基于vlan,loop guard支持自动恢复,udld建议所有接口都启用,loop guard一般发生问题在rp、ap上,udld解决的是硬件问题,loop guard解决的是软件问题,最好的解决方法都启用。
stp security:
bpdu guard :err-dis
bpdu filter:drop
root guard:broken
stp loop:
udld:硬件问题
loop guard:软件问题
浙公网安备 33010602011771号