SPFA算法介绍
SPFA算法是求解单源最短路径问题的一种算法,由理查德·贝尔曼(Richard Bellman) 和 莱斯特·福特创立的。有时候这种算法也被称为 Moore-Bellman-Ford 算法,因为 Edward F. Moore 也为这个算法的发展做出了贡献。它的原理是对图进行V-1次松弛操作,得到所有可能的最短路径。其优于迪科斯彻算法的方面是边的权值可以为负数、实现简单,缺点是时间复杂度过高,高达 O(VE)。但算法可以进行若干种优化,提高了效率。
算法的思路:我们用数组dis记录每个结点的最短路径估计值,用邻接表或邻接矩阵来存储图G。我们采取的方法是动态逼近法:设立一个先进先出的队列用来保存待优化的结点,优化时每次取出队首结点u,并且用u点当前的最短路径估计值对离开u点所指向的结点v进行松弛操作,如果v点的最短路径估计值有所调整,且v点不在当前的队列中,就将v点放入队尾。这样不断从队列中取出结点来进行松弛操作,直至队列空为止。
我们要知道带有负环的图是没有最短路径的,所以我们在执行算法的时候,要判断图是否带有负环,方法有两种:
1.开始算法前,调用拓扑排序进行判断(一般不采用,浪费时间)
2.如果某个点进入队列的次数超过N次则存在负环(N为图的顶点数)
SPFA算法手动操作过程
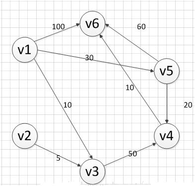
下面我们采用SPFA算法对下图求v1到各个顶点的最短路径,通过手动的方式来模拟SPFA每个步骤的过程
初始化:
首先我们先初始化数组dis如下图所示:(除了起点赋值为0外,其他顶点的对应的dis的值都赋予无穷大,这样有利于后续的松弛)
此时,我们还要把v1如队列:{v1}
现在进入循环,直到队列为空才退出循环。
第一次循环:
首先,队首元素出队列,即是v1出队列,然后,对以v1为弧尾的边对应的弧头顶点进行松弛操作,可以发现v1到v3,v5,v6三个顶点的最短路径变短了,更新dis数组的值,得到如下结果:
我们发现v3,v5,v6都被松弛了,而且不在队列中,所以要他们都加入到队列中:{v3,v5,v6}
第二次循环
此时,队首元素为v3,v3出队列,然后,对以v3为弧尾的边对应的弧头顶点进行松弛操作,可以发现v1到v4的边,经过v3松弛变短了,所以更新dis数组,得到如下结果:
此时只有v4对应的值被更新了,而且v4不在队列中,则把它加入到队列中:{v5,v6,v4}
第三次循环
此时,队首元素为v5,v5出队列,然后,对以v5为弧尾的边对应的弧头顶点进行松弛操作,发现v1到v4和v6的最短路径,经过v5的松弛都变短了,更新dis的数组,得到如下结果:
我们发现v4、v6对应的值都被更新了,但是他们都在队列中了,所以不用对队列做任何操作。队列值为:{v6,v4}
第四次循环此时,队首元素为v6,v6出队列,然后,对以v6为弧尾的边对应的弧头顶点进行松弛操作,发现v6出度为0,所以我们不用对dis数组做任何操作,其结果和上图一样,队列同样不用做任何操作,它的值为:{v4}
SPFA算法手动操作过程
第五次循环此时,队首元素为v4,v4出队列,然后,对以v4为弧尾的边对应的弧头顶点进行松弛操作,可以发现v1到v6的最短路径,经过v4松弛变短了,所以更新dis数组,得到如下结果:
因为我修改了v6对应的值,而且v6也不在队列中,所以我们把v6加入队列,{v6}
第六次循环
此时,队首元素为v6,v6出队列,然后,对以v6为弧尾的边对应的弧头顶点进行松弛操作,发现v6出度为0,所以我们不用对dis数组做任何操作,其结果和上图一样,队列同样不用做任何操作。所以此时队列为空。OK,队列循环结果,此时我们也得到了v1到各个顶点的最短路径的值了,它就是dis数组各个顶点对应的值,如下图:
SPFA算法问题
即使两个图的节点和边数完全一样,仅仅是几条边的权值不同,他们的 SPFA 队列也会差距很大,如此感性上理解,SPFA 是不稳定的。
众所周知 SPFA 可以看做是 Bellman-Ford 的队列优化。 Bellman-Ford 每轮松弛会使最短路的边数至少 +1,而最短路的边数最多为 n−1,则其复杂度上界是稳定的 O(nm) 的。
但是 SPFA 能被卡,能被卡到 Bellman-Ford 的复杂度,我们先讲原因,再讲方法:
究其原因,要从 SPFA 是 Bellman-ford 的优化说起。在 n 个点 m 条边的图中,Bellman-ford 的复杂度是 n×m,依次对每条边进行松弛操作,重复这个操作 n-1 次后则一定得到最短路,如果还能继续松弛,则有负环。这是因为最长的没有环路的路,也只不过是 n 个点 n-1 条边构成的,所以松弛 n-1 次一定能得到最短路。
SPFA 的意义在于,如果一个点上次没有被松弛过,那么下次就不会从这个点开始松弛。每次把被松弛过的点加入到队列中,就可以忽略掉没有被松弛过的点。
但是最外层的循环还是 n-1 次。如果把被松弛的点放到前边,他相当于没有进行完这一轮松弛,就开始了一些其他的操作。但是这些其他的操作可能是无用的,因为这些操作的起始点可能还会被这一轮松弛更新。
所以传统的 SPFA 的复杂度不会超过n×m,并且每个点都不会第 n 次入队。
渐进意义上,他的复杂度依然是 O(nm),一共只有 m 条边所以每个节点最多只会入队 n 次。SPFA 在本质上只是改变的入队的顺序,其复杂度上界依然是 O(nm),接下来介绍卡法
普通 SPFA:
链套菊花,可以让这个菊花节点反复被入队,造成时间的大量浪费。或者我们可以构造一个具有大量次短路的网格图,使得 SPFA 容易一错到底,即“在网格图中走错一次路可能导致很高的额外开销”。我们可以考虑构造一个网格图套菊花,或者把两种方法结合起来,放在同一个 Subtask 中。
渐进意义上,他的复杂度依然是 O(nm),一共只有 m 条边所以每个节点最多只会入队 n 次。SPFA 在本质上只是改变的入队的顺序,其复杂度上界依然是 O(nm),接下来介绍卡法
链套菊花,可以让这个菊花节点反复被入队,造成时间的大量浪费。或者我们可以构造一个具有大量次短路的网格图,使得 SPFA 容易一错到底,即“在网格图中走错一次路可能导致很高的额外开销”。我们可以考虑构造一个网格图套菊花,或者把两种方法结合起来,放在同一个 Subtask 中。
LLL 优化:
方法是比较入队的边权与 ave(平均值),如果更大则插入到队尾。卡死的方法是向 1 连接一条权值极大的边。
SLF 优化:
极其广为人知的优化,每次将入队结点距离和队首比较,如果更大则插入至队尾。依然可以用链套菊花的方式卡,“链上用几个并列在一起的小边权”。带容错的版本依然可以通过高边权和的方式卡死。
SPFA算法其它优化
除了队列优化(SPFA)之外,Bellman-Ford 还有其他形式的优化,这些优化在部分图上效果明显,但在某些特殊图上,最坏复杂度可能达到指数级。
堆优化:将队列换成堆,与 Dijkstra 的区别是允许一个点多次入队。在有负权边的图可能被卡成指数级复杂度。
栈优化:将队列换成栈(即将原来的 BFS 过程变成 DFS),在寻找负环时可能具有更高效率,但最坏时间复杂度仍然为指数级。
LLL 优化:将普通队列换成双端队列,每次将入队结点距离和队内距离平均值比较,如果更大则插入至队尾,否则插入队首。
SLF 优化:将普通队列换成双端队列,每次将入队结点距离和队首比较,如果更大则插入至队尾,否则插入队首。
D´Esopo-Pape 算法:将普通队列换成双端队列,如果一个节点之前没有入队,则将其插入队尾,否则插入队首。
 
                    
                     
                    
                 
                    
                 
                
            
         
         浙公网安备 33010602011771号
浙公网安备 33010602011771号