组合
集合的组合(子集)
设S是n元素集合。集合S的一个组合通常表示集合S的元素的一个无序选择。这样一个选择的结果是S的元素构成的一个子集
。因此,S的一个组合就是S的子集的一个选择。因此,术语组合与子集本质上是可以互换的,通常我们使用更熟悉的子集而不使用略显笨拙的组合,除非要强调选择的过程。
我们用
表示n元素集合的r子集的数目。显然
还有
,容易看出,对于每一个非负整数n,下述事实成立。
特别地
。下面的定理给出r子集数目的基本公式。
定理:
对于
。
例子
在平面上给出25个点使得没有3个点共线。这些点确定多少条直线?确定多少个三角形?
有15个人选修了一门数学课程,但在给定的一天恰有12位学生听课,选出12名学生的不同方法数是多少?如果教室内有25个座位,那么这12名学生可能就座的方法数目是多少?
推论
对于
。
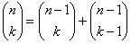
定理(帕斯卡公式)
对于所有满足 的整数n和k,有
。
定理
对于
。
多重集合的组合
如果S是多重集合,那么S的r组合是S中r个对象的无序选择。因此,S的一个r组合本身也是一个多重集合,它是一个大小为r的S的多重子集,或者简单说来,是一个多重r子集。如果S有n个对象,那么S只有一个n组合,即S自己。如果S含有k种不同类型的对象,那么S就有k个1组合。与集合的组合不同,通常我们使用组合而不是多重子集。
定理
设S是有k种类型对象的多重集合,每种元素具有无限的重复数,那么S的r组合的个数等于
。
对于
,S任意r组合均呈
的形式,其中
皆为非负整数,且
。反过来,每个满足
的非负整数序列
,对应于S的一个r组合。因此,S的r组合的个数等于方程
的非负整数解的个数。
例子
项取自1,2,…,k的长度为r的非递减序列的个数是多少?
设S是有4种对象a,b,c,d的多重集
每一种类型的对象至少出现一次的S的10组合的个数有多少?
带重复的组合
我们已经把多重集合
的r组合的数目确定为两个“极端”的情况:
1 
2 
对于一般的情形任然有效。
浙公网安备 33010602011771号