卡特兰数列(Catalan )
卡特兰数列(Catalan )
简述
卡特兰数又称卡塔兰数,它是组合数学中一个常出现在各种计数问题中出现的数列,其前几项为 : 1, 1, 2, 5, 14, 42, 132, 429, 1430, 4862, 16796, 58786, 208012, ......
公式
1.递归公式1
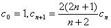
2.递归公式2 
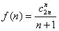
3.组合公式1 
4.组合公式2 
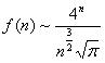
5.增长趋势 
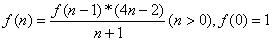
6.递推公式
应用
二叉树的计数:已知二叉树有 n 个结点,求能构成多少种不同的二叉树
括号化问题:一个合法的表达式由()包围,()可以嵌套和连接,如:(())()也是合法表达式,现给出 n 对括号,求可以组成的合法表达式的个数
划分问题:将一个凸 n+2 多边形区域分成三角形区域的方法数
出栈问题:一个栈的进栈序列为1,2,3,..n,求不同的出栈序列有多少种
路径问题:在 n*n 的方格地图中,从一个角到另外一个角,求不跨越对角线的路径数有多少种
握手问题:2n 个人均匀坐在一个圆桌边上,某个时刻所有人同时与另一个人握手,要求手之间不能交叉,求共有多少种握手方法
1.递归公式1
#include<iostream>
#include<cstring>
#include<cstdio>
using namespace std;
long long cat[50];
long long Cat1(int n)
{
memset(cat,0,sizeof(cat));
cat[0]=cat[1]=1;
for(int i=2;i<=n;++i)
{
for(int j=0;j<i;++j)
cat[i]+=cat[j]*cat[i-j-1];
}
return cat[n];
}
int main()
{
int n;
scanf("%d",&n);
printf("%lld\n",Cat1(n));
return 0;
}
2.递归公式2 
#include<iostream>
#include<cstring>
#include<cstdio>
using namespace std;
long long cat[50];
long long Cat2(int n)
{
memset(cat,0,sizeof(cat));
cat[0]=1;
for(int i=1;i<=n;++i)
{
cat[i]=((cat[i-1])*(i*4-2))/(i+1);
}
return cat[n];
}
int main()
{
int n;
scanf("%d",&n);
printf("%lld\n",Cat2(n));
return 0;
}
3.组合公式1 
#include<iostream>
#include<cstring>
#include<cstdio>
using namespace std;
long long cat[50];
long long tatal;
void Cat3(int n)
{
tatal=1;
for(int i=0;i<n;++i)//求c(2n,n);
tatal=tatal*(2*n-i)/(i+1);
tatal/=(n+1);
}
int main()
{
int n;
scanf("%d",&n);
Cat3(n);
printf("%lld\n",tatal);
return 0;
}
4.组合公式2 
#include<iostream>
#include<cstring>
#include<cstdio>
using namespace std;
long long cat[50];
long long tatal;
void Cat4(int n)
{
tatal=1;
for(int i=0;i<n;++i)//求c(2n,n);
tatal=tatal*(2*n-i)/(i+1);
tatal=tatal-tatal*n/(n+1);
}
int main()
{
int n;
scanf("%d",&n);
Cat4(n);
printf("%lld\n",tatal);
return 0;
}
浙公网安备 33010602011771号