计数原理

加法原理
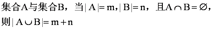
设事件A有m种产生方式,事件B有n种产生方式,当事件A与事件B产生方式不重叠时,事件A或事件B的产生方式有m+n种。
用集合方法描述这个问题可以这样说:

乘法原理

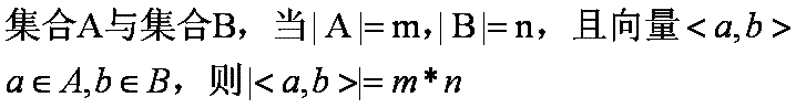
设事件A有m种产生方式,事件B有n种产生方式,当事件A与事件B产生方式彼此独立,事件A与事件B的产生方式有mn种。
用集合方法描述这个问题可以这样说:

实例
某班有男生10人与女生9个,问:全班有多少人。
某班有男生10人与女生9个,问:选择一位男生与一位女生做值日有多少种方案。



 

posted @ 2022-03-06 07:54  心悟&&星际  阅读(228)  评论(0)    收藏  举报