小球(DROP) 题解
小球(DROP)
【问题描述】
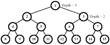
 许多的小球一个一个的从一棵满二叉树上掉下来组成FBT(Full Binary Tree,满二叉树),每一时间,一个正在下降的球第一个访问的是非叶子节点。然后继续下降时,或者走右子树,或者走左子树,直到访问到叶子节点。决定球运动方向的是每个节点的布尔值。最初,所有的节点都是FALSE,当访问到一个节点时,如果这个节点是FALSE,则这个球把它变成TRUE,然后从左子树走,继续它的旅程。如果节点是TRUE,则球也会改变它为FALSE,而接下来从右子树走。满二叉树的标记方法如下图。
因为所有的节点最初为FALSE,所以第一个球将会访问节点1,节点2和节点4,转变节点的布尔值后在在节点8停止。第二个球将会访问节点1、3、6,在节点12停止。明显地,第三个球在它停止之前,会访问节点1、2、5,在节点10停止。
现在你的任务是,给定FBT的深度D,和I,表示第I个小球下落,你可以假定I不超过给定的FBT的叶子数,写一个程序求小球停止时的叶子序号。
【输入格式】
输入文件仅一行包含两个用空格隔开的整数D和I。其中2<=D<=20,1<=I<=524288。
【输出格式】
对应输出第I个小球下落停止时的叶子序号。
【输入样例】DROP.IN
4 2
【输出样例】DROP.OUT
12
题解
模拟算法,对于每次下次进行模拟,设树的根为1,则当前结点为i,其左子树为2*i,右子树为2*i+1
下落操作如下代码
bool t[1<<20];
int p,n;//p表示树的结点编号,n表示FBT的深度
void xialuo()
{
     int i;p=1;//p为根 
     for (int i=2;i<=n;i++) //下落n-1次
     {
           if (t[p]) 
          {
                t[p]=0;p=p*2+1;//当前为0,向右子树 
          }
          else
         {
               t[p]=1;p=p*2;//当前为1,向左子树 
          } 
     } 
}
主函数只有重复k次,p为所求的值。
 
                    
                 
                
            
         浙公网安备 33010602011771号
浙公网安备 33010602011771号