Loading

N叉树的java实现

一.什么是N叉树?
就是节点的孩子没有限制的树。

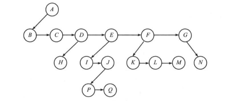
例如:
在这里插入图片描述

那么怎么表示这种树呢?

有一种方法可以合理的表示它:
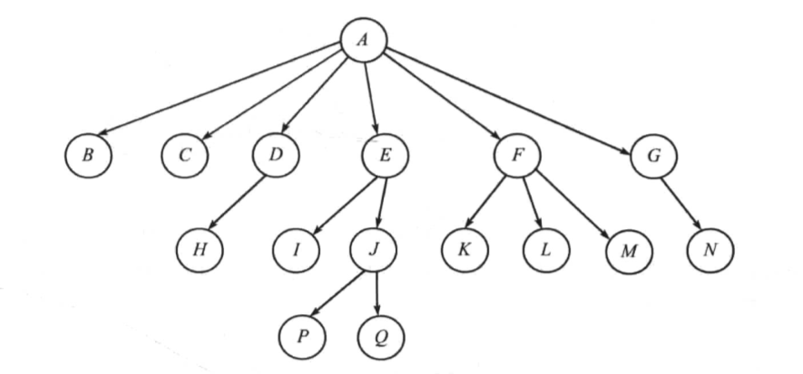
1.同一个父母节点的孩子从左到右排列。
2.父母节点只指向第一个孩子节点。

如图:
在这里插入图片描述

它的节点定义和二叉树一样:

class BinaryTreeNode{
   
    
posted @ 2020-03-23 14:27  文牧之  阅读(13)  评论(0)    收藏  举报  来源