图算法基础一
一.什么是图?
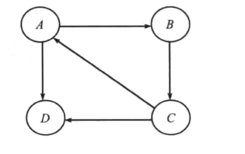
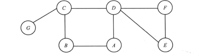
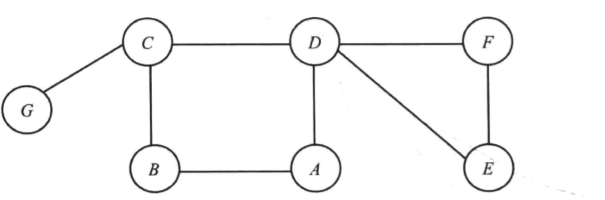
有几个节点,节点之间有线连着,这样的情景就叫图:
二.由于节点之间的连接方式的不同,我们诞生了以下含义:
1.有向边:从一个节点到另一个节点的连接是单向的,我们称两个节点之间的线为有向边。
2.无向边: 从一个节点到另一个节点的连接是双向的,我们称两个节点之间的线为无向边。
3.有向图: 图中所有的边都是有向边
4.无向图: 图中所有的边都是无向边
三.由于要对图加以描述,我们又诞生了以下定义:
1.当一条边连接两个顶点时,称这两个顶点为相互邻近,且该边关联这两个顶点。
2.无环图称为树,所以树也可以被说为不包含环的连通图。
3.自环指的是一条连接顶点及其自身的边。
4.平行边指的是两条连接相同顶点的边。
5.顶点的度是指关联该顶点的边的数目。
6.子图是图的边(及边所关联的顶点)的子集所形成的图。
7.图中的路径指的是一系列相邻顶点连通的形成路。
8.简单路径是一条不包含重复顶点的路径。
9.环路是起点与终点相同的路径。
10.简单环路是不包含重复顶点和边的环。
11.如果两个顶点之间存在一条路径,则称这两个顶点是连通的。
12.如果一个图是非连通的,那么它由一组连通分量组成。
13.有向无环图是一种不包含环的有向图。
14.连通图的生成树是包含所有图顶点的子图,并且是一颗单独的树。
15.二分图是一个顶点能被分成两个集合的图,其中所有的边只连接来自不同集合的顶点。
16.再一个有权图中,给每条边赋值一个整数来代表距离。
17.包含所有边的图称为完全图。
18.仅有少量边缺失的图称作稀疏图。
四,图的表示:
如果我们要表示图,我们需要了解图数据结构的组

浙公网安备 33010602011771号