198种组合算法+优化LSTM神经网络+SHAP分析+新数据预测+多输出!深度学习可解释分析,强烈安利,粉丝必备! - 教程
198种组合算法+优化LSTM神经网络+SHAP分析+新数据预测+多输出!深度学习可解释分析,强烈安利,粉丝必备!











主要功能
- 多输出回归预测:使用LSTM网络对多变量时间序列/回归数据进行预测(2个输出变量)
- 智能超参数优化:使用RIME算法优化LSTM的隐藏层神经元数量和初始学习率
- 对比分析:比较优化前后LSTM模型的预测精度(RMSE、R²、MAE)
- 可解释性分析:计算SHAP值分析特征重要性
- 新数据预测:训练完成后可对新数据进行预测
逻辑关联流程
数据导入 → 归一化 → 划分训练/测试集 → RIME优化LSTM超参数 → 训练优化后LSTM →
预测结果 → 与未优化LSTM对比 → 指标计算与可视化 → SHAP分析 → 新数据预测
⚙️ 算法步骤详解
1. 数据预处理
- 从Excel读取5个输入特征,2个输出目标
- 使用
mapminmax归一化到[0,1]区间 - 可选择是否打乱样本顺序(80%训练,20%测试)
2. 智能优化阶段
- 优化算法:RIME(霜冰优化算法)
- 优化变量:
- 隐藏层神经元数量:2-20(整数)
- 初始学习率:0.001-0.1
- 目标函数:LSTM在验证集上的RMSE误差
- 混沌映射:支持9种混沌映射初始化(默认tent映射)
3. LSTM模型构建
序列输入层 → LSTM层(优化后神经元数) → ReLU激活层 → 全连接层 → 回归层
4. 训练配置
- 优化器:Adam
- 最大轮次:500
- 学习率调度:分段下降(200轮后×0.1)
- 执行环境:CPU(注释说明CPU更快)
5. 评估与对比
- 对比模型:相同数据下的未优化LSTM
- 评估指标:RMSE、R²、MAE
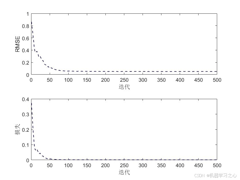
- 可视化:
- 迭代曲线
- 雷达图对比
- 预测值对比曲线
- 误差百分比图
- 回归拟合图
6. 可解释性分析
- 计算SHAP值分析各输入特征对输出的贡献度
7. 应用阶段
- 加载新数据并进行预测
- 结果保存到Excel
关键技术路线
- 智能优化+LSTM:RIME算法优化神经网络超参数
- 多输出回归:单模型同时预测多个目标变量
- 混沌理论:使用混沌映射提升优化算法多样性
- 模型可解释性:SHAP值分析特征重要性
- 全面可视化:多种图形化结果展示
⚡ 重要参数设定
| 参数 | 设置值 | 说明 |
|---|---|---|
| 种群大小 | 10 | RIME算法种群数量 |
| 最大迭代 | 10 | 优化迭代次数 |
| 隐藏层范围 | 2-20 | LSTM神经元数量范围 |
| 学习率范围 | 0.001-0.1 | 初始学习率范围 |
| 训练轮次 | 500 | LSTM最大训练轮次 |
| 训练比例 | 80% | 训练集占比 |
| 混沌映射 | Tent映射 | 种群初始化方法 |
运行环境要求
- 软件:MATLAB2020(需要深度学习工具箱)
- 依赖工具箱:
OA_ToolBox\- 智能优化算法工具箱spider_plot\- 雷达图绘制工具箱
- 数据文件:
回归数据.xlsx- 训练数据新的多输入.xlsx- 预测数据
输出结果
- 数值结果:优化前后各项指标对比表格
- 图形结果:迭代曲线、雷达图、预测对比图、误差分析图等
- 模型文件:训练好的LSTM网络
- 预测结果:新数据的预测值保存为Excel文件
完整代码私信198种组合算法+优化LSTM神经网络+SHAP分析+新数据预测+多输出!深度学习可解释分析,强烈安利,粉丝必备!
9种映射方法,种群初始值选择,改进智能算法
label=1 对应 tent 映射
label=2 对应 chebyshev 映射
label=3 对应 singer 映射
label=4 对应 logistic 映射
label=5 对应 sine 映射
label=6 对应 circle 映射
label=7 对应 立方映射
label=8 对应 Hénon 映射
label=9 对应广义Logistic映射
智能算法包括:
1、PSO 粒子群
2、SSA 麻雀
3、ZOA 斑马
4、WOA 鲸鱼群
5、WSO 白鲨
6、GWO 灰狼
7、GA 遗传算法
8、C_PSO 横向交叉粒子群
9、COA 小龙虾
10、DA 蜻蜓
11、IGWO 改进灰狼
12、SMA 黏菌
13、RIME 雾凇/霜冰
14、NRBO 牛顿-拉夫逊优化算法
15、CPO 冠豪猪
16、DBO 蜣螂
17、E-WOA 改进鲸鱼群
18、FSA 火焰鸟
19、GEO 金鹰
20、GoldSA 黄金正弦
21、LVY 常青藤
22、KOA 开普勒
目前有9*22=198种智能算法组合
浙公网安备 33010602011771号